Официальное опубликование правовых актов
ОФИЦИАЛЬНОЕ ОПУБЛИКОВАНИЕ
Приказ Министерства лесного, охотничьего хозяйства и природопользования Пензенской области от 29.07.2025 № 15-107
"О внесении изменений в приказ Министерства лесного, охотничьего хозяйства и природопользования Пензенской области от 18.06.2021 № 79/4 (с последующими изменениями)"
(Зарегистрирован 29.07.2025 № 15-107)
Номер опубликования: 5801202508010009
Дата опубликования: 01.08.2025
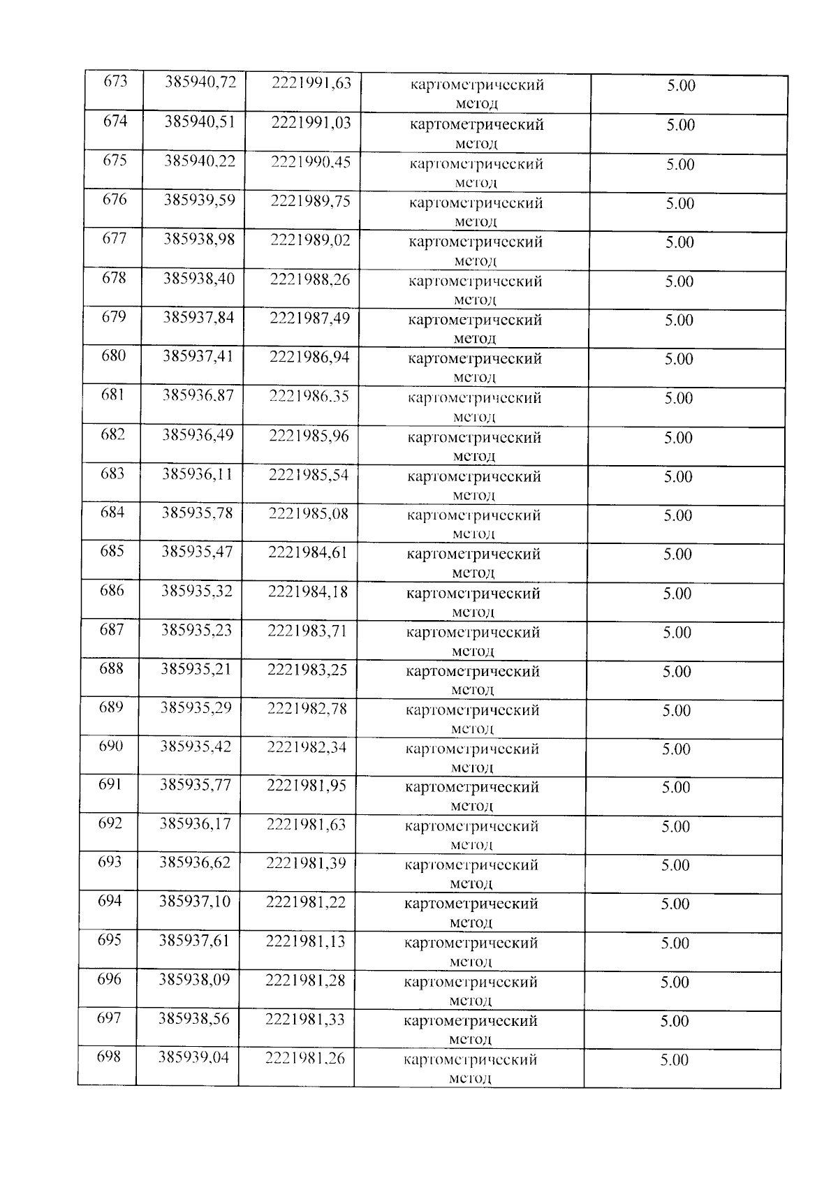
Страница №29 из 83:
Увеличить