Официальное опубликование правовых актов
ОФИЦИАЛЬНОЕ ОПУБЛИКОВАНИЕ
Приказ Министерства градостроительства и архитектуры Пензенской области от 18.07.2025 № 23-396
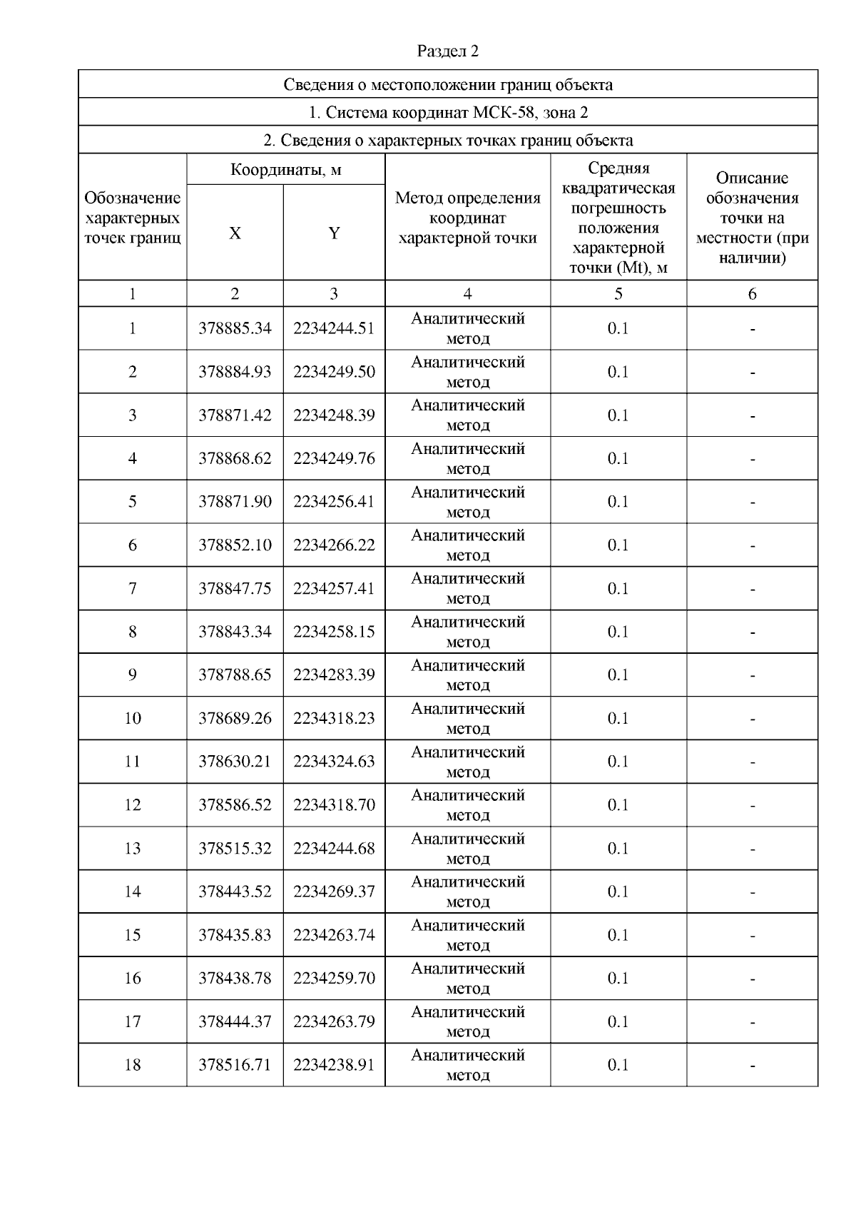
"Об утверждении границ охранной зоны существующего газопровода среднего и низкого давления, протяженностью 497 м, расположенного по адресу: Пензенская область, г. Пенза, тер. с/т "Гипромашевец", и наложении ограничений (обременений) на входящие в нее земельные участки"
(Зарегистрирован 18.07.2025 № 23-396)
Номер опубликования: 5801202507220002
Дата опубликования: 22.07.2025
Страница №5 из 6:
Увеличить