Официальное опубликование правовых актов
ОФИЦИАЛЬНОЕ ОПУБЛИКОВАНИЕ
Приказ Министерства градостроительства и архитектуры Пензенской области от 16.07.2025 № 23-393
"Об утверждении документации по планировке территории линейного объекта: "Проект внесения изменений в проект межевания территории земельного участка с кадастровым номером 58:28:0330101:1087 утвержденный постановлением администрации Шемышейского района Пензенской области от 07.09.2020 № 317"
(Зарегистрирован 16.07.2025 № 23-393)
Номер опубликования: 5801202507180003
Дата опубликования: 18.07.2025
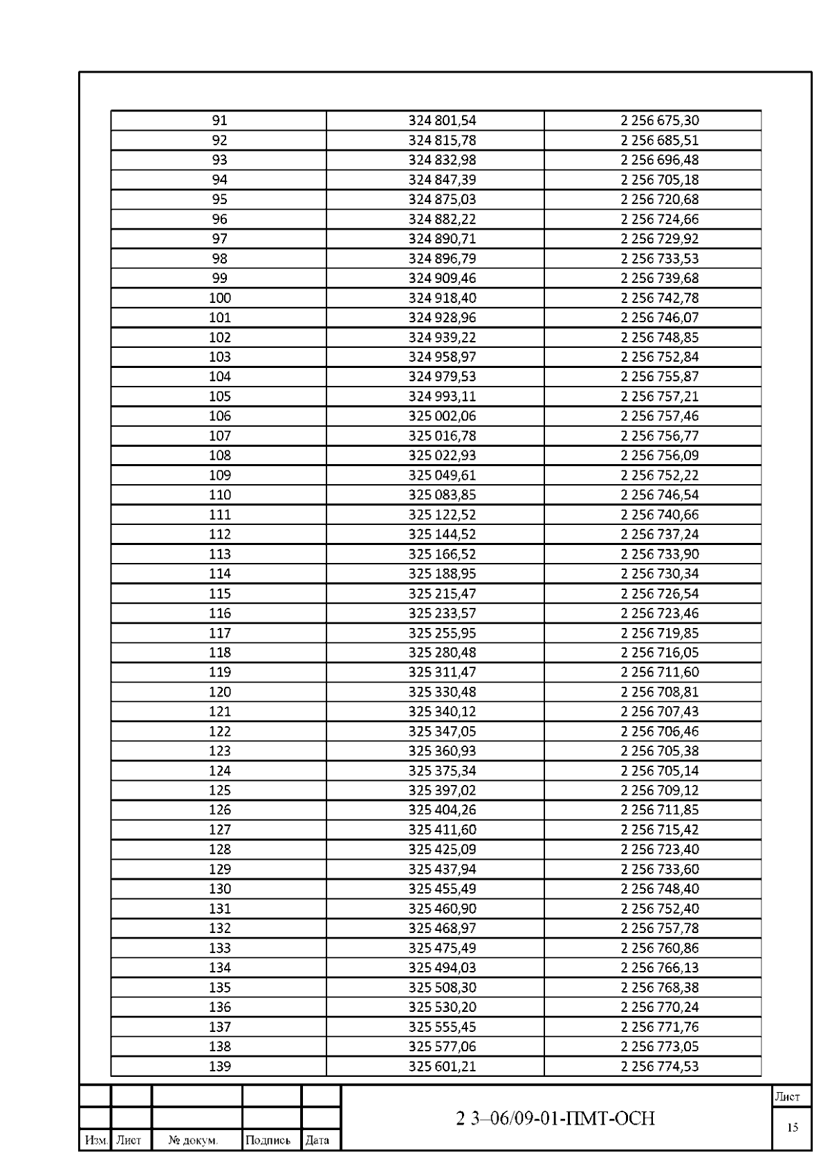
Страница №24 из 41:
Увеличить