Официальное опубликование правовых актов
ОФИЦИАЛЬНОЕ ОПУБЛИКОВАНИЕ
Приказ Министерства градостроительства и архитектуры Пензенской области от 01.07.2025 № 23-346
"О внесении изменений в Генеральный план муниципального образования Богословский сельсовет Пензенского района Пензенской области, утвержденный решением Комитета местного самоуправления Богословского сельсовета Пензенского района Пензенской области третьего созыва от 27.08.2020 № 79-14/3"
(Зарегистрирован 01.07.2025 № 23-346)
Номер опубликования: 5801202507030018
Дата опубликования: 03.07.2025
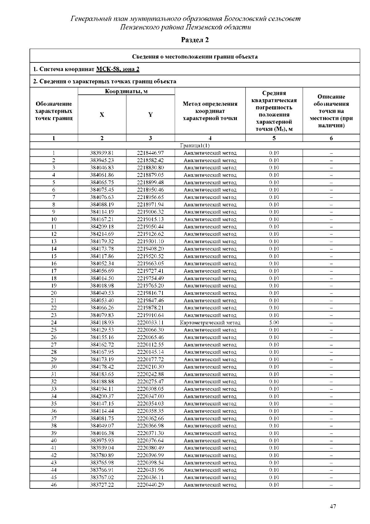
Страница №47 из 56:
Увеличить