Официальное опубликование правовых актов
ОФИЦИАЛЬНОЕ ОПУБЛИКОВАНИЕ
Приказ Министерства градостроительства и архитектуры Пензенской области от 01.07.2025 № 23-345
"Об утверждении проекта планировки территории линейного объекта: "Автомобильная подъездная дорога к площадкам по выращиванию индейки Н53, Н54 и ПК-13 в районе с. Старое Демкино Шемышейского района Пензенской области"
(Зарегистрирован 01.07.2025 № 23-345)
Номер опубликования: 5801202507030017
Дата опубликования: 03.07.2025
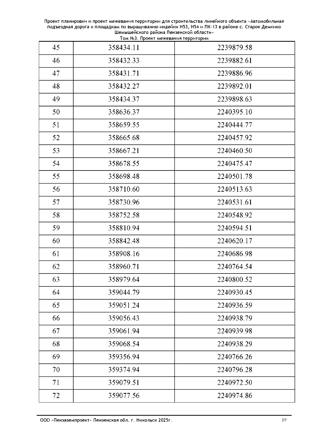
Страница №106 из 122:
Увеличить