Приказ Министерства градостроительства и архитектуры Пензенской области от 26.06.2025 № 23-330
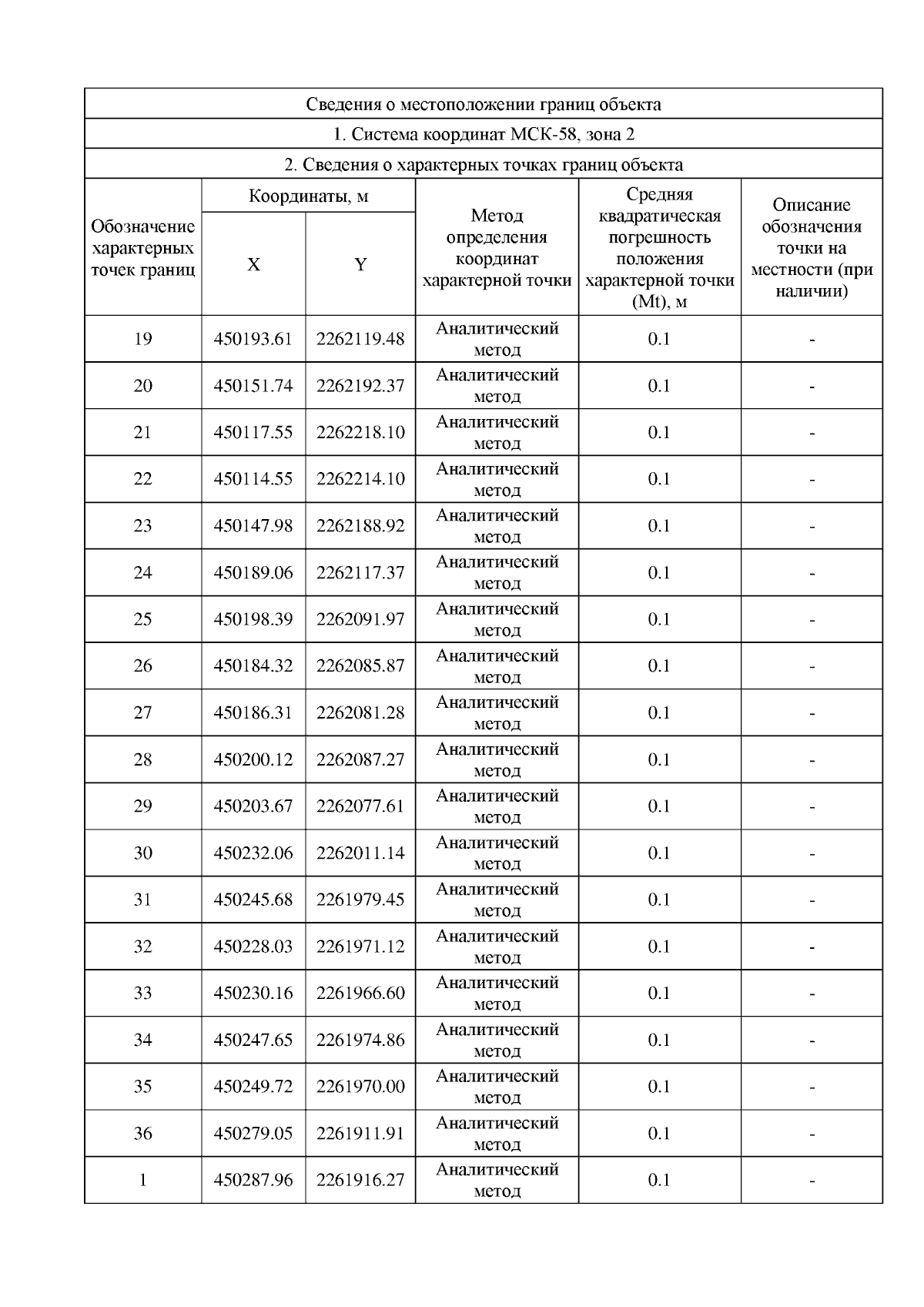
"Об утверждении границ охранной зоны существующего газопровода низкого давления, протяженностью 415 м, расположенного по адресу: Пензенская область, Лунинский район, с. Напольный Вьяс, ул. Большая, д. 30, и наложении ограничений (обременений) на входящие в нее земельные участки"
(Зарегистрирован 26.06.2025 № 23-330)
"Об утверждении границ охранной зоны существующего газопровода низкого давления, протяженностью 415 м, расположенного по адресу: Пензенская область, Лунинский район, с. Напольный Вьяс, ул. Большая, д. 30, и наложении ограничений (обременений) на входящие в нее земельные участки"
(Зарегистрирован 26.06.2025 № 23-330)
Номер опубликования: 5801202507010021
Дата опубликования:
01.07.2025
