Официальное опубликование правовых актов
ОФИЦИАЛЬНОЕ ОПУБЛИКОВАНИЕ
Приказ Министерства градостроительства и архитектуры Пензенской области от 22.04.2025 № 23-207
"О внесении изменений в Правила землепользования и застройки муниципального образования Засечный сельсовет Мокшанского района Пензенской области, утвержденные решением Комитета местного самоуправления Засечного сельсовета Мокшанского района Пензенской области от 02.04.2012 № 231-95/5 (с последующими изменениями)"
(Зарегистрирован 22.04.2025 № 23-207)
Номер опубликования: 5801202504230012
Дата опубликования: 23.04.2025
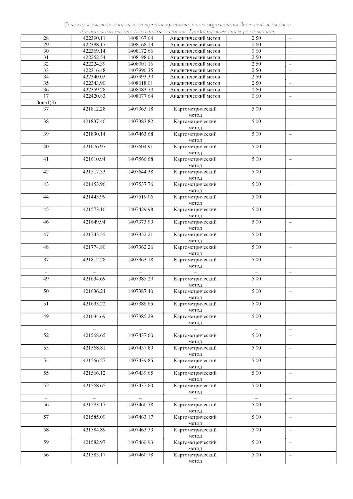
Страница №193 из 206:
Увеличить