Официальное опубликование правовых актов
ОФИЦИАЛЬНОЕ ОПУБЛИКОВАНИЕ
Приказ Министерства градостроительства и архитектуры Пензенской области от 26.03.2025 № 23-126
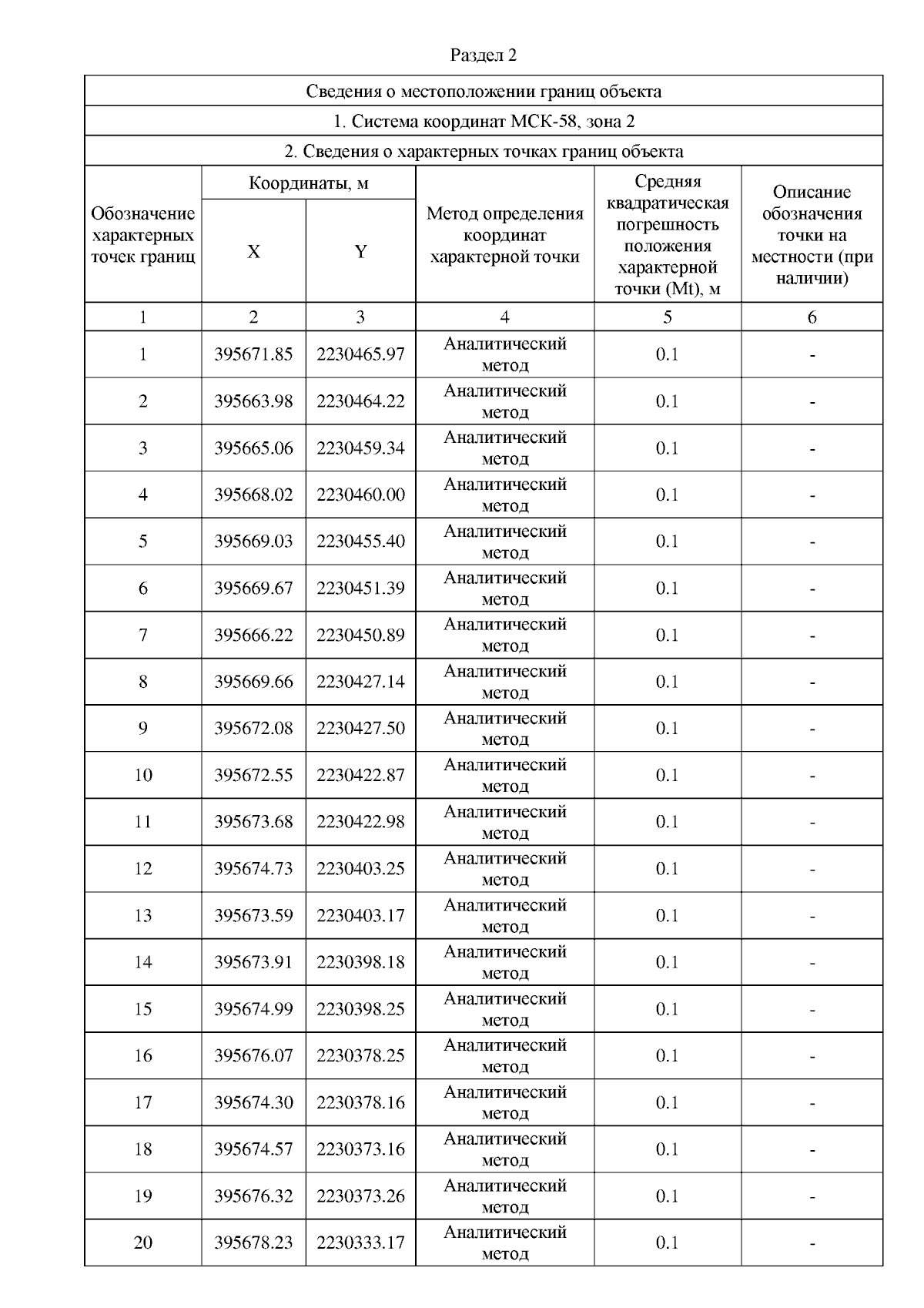
"Об утверждении границ охранной зоны существующего газопровода высокого и низкого давления, протяженностью 174 м, расположенного по адресу: Российская Федерация, Пензенская область, Бессоновский муниципальный район, с. Бессоновка, ул. Городок, и наложении ограничений (обременений) на входящие в нее земельные участки"
(Зарегистрирован 26.03.2025 № 23-126)
Номер опубликования: 5801202503310010
Дата опубликования: 31.03.2025
Страница №5 из 7:
Увеличить