Официальное опубликование правовых актов
ОФИЦИАЛЬНОЕ ОПУБЛИКОВАНИЕ
Приказ Министерства строительства, транспорта и дорожного хозяйства Пензенской области от 25.02.2025 № 19-17
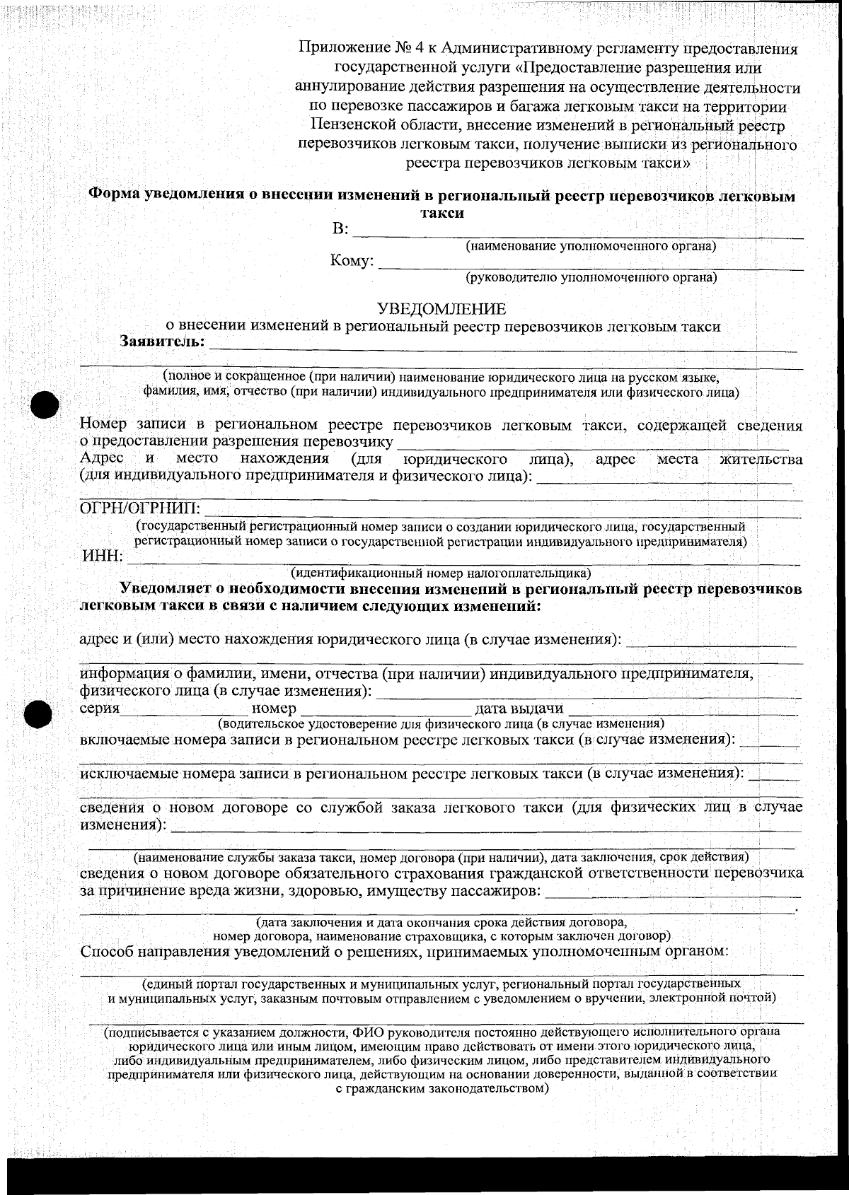
"Об утверждении административного регламента предоставления государственной услуги "Предоставление разрешения или аннулирование действия разрешения на осуществление деятельности по перевозке пассажиров и багажа легковым такси на территории Пензенской области, внесение изменений в региональный реестр перевозчиков легкового такси, получение выписки из регионального реестра перевозчиков легковым такси"
(Зарегистрирован 25.02.2025 № 19-17)
Номер опубликования: 5801202502270008
Дата опубликования: 27.02.2025
Страница №32 из 33:
Увеличить