Официальное опубликование правовых актов
ОФИЦИАЛЬНОЕ ОПУБЛИКОВАНИЕ
Приказ Министерства градостроительства и архитектуры Пензенской области от 19.02.2025 № 23-35
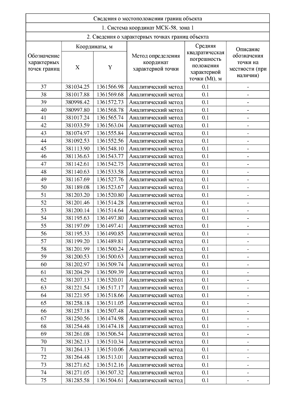
"Об утверждении границ охранной зоны существующего газопровода низкого давления протяженностью 534 м, расположенного по адресу: Пензенская область, Каменский р-н, г. Каменка, от ГРПШ расположенного на ул. Кольцевая у дома №12 по ул. Кольцова 2-26, и наложении ограничений (обременений) на входящие в нее земельные участки"
(Зарегистрирован 19.02.2025 № 23-35)
Номер опубликования: 5801202502240005
Дата опубликования: 24.02.2025
Страница №6 из 7:
Увеличить