Официальное опубликование правовых актов
ОФИЦИАЛЬНОЕ ОПУБЛИКОВАНИЕ
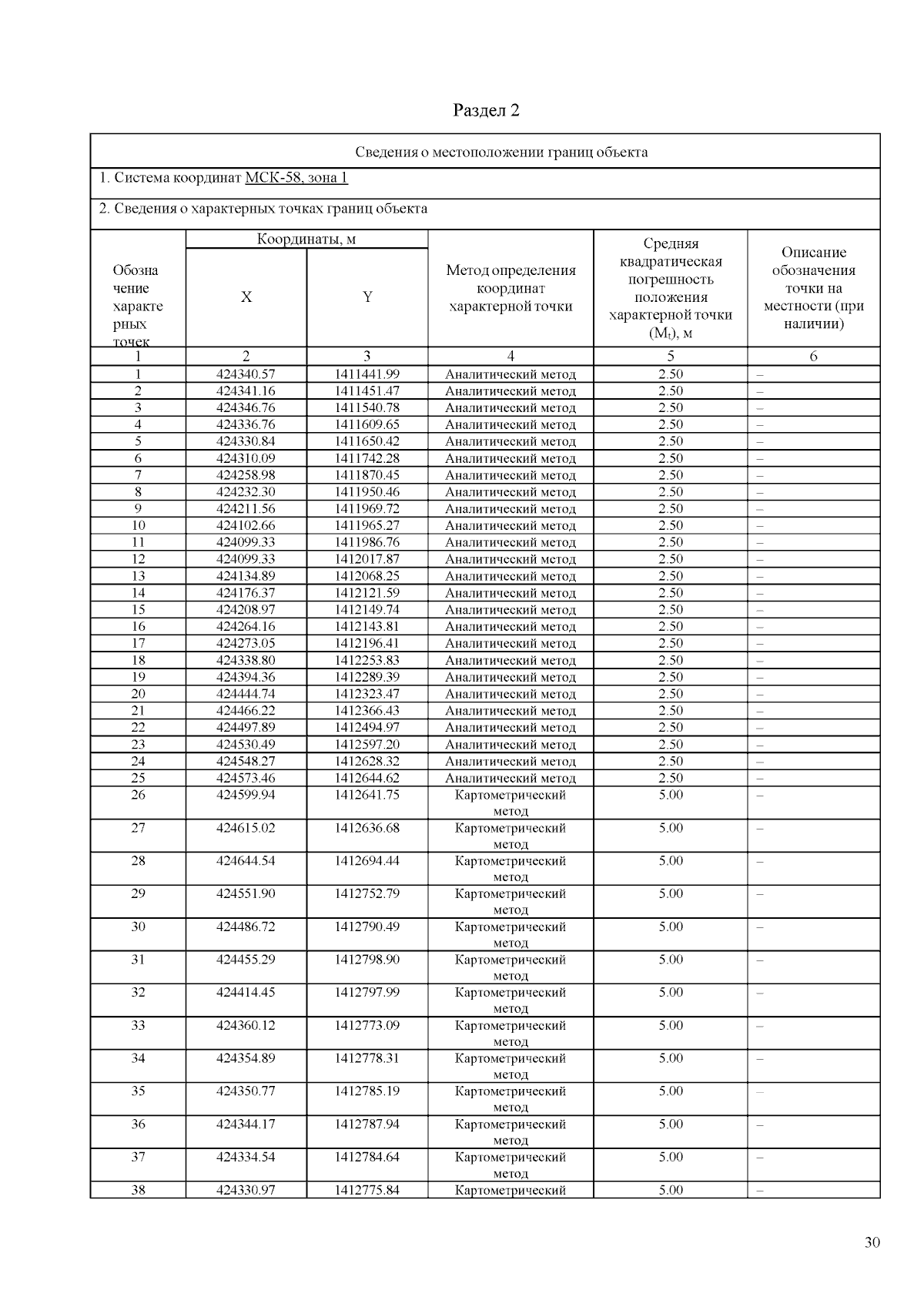
Приказ Министерства градостроительства и архитектуры Пензенской области от 16.01.2025 № 23-1
"О внесении изменений в Генеральный план муниципального образования Засечный сельсовет Мокшанского района Пензенской области"
(Зарегистрирован 16.01.2025 № 23-1)
Номер опубликования: 5801202501170004
Дата опубликования: 17.01.2025
Страница №30 из 48:
Увеличить