Официальное опубликование правовых актов
ОФИЦИАЛЬНОЕ ОПУБЛИКОВАНИЕ
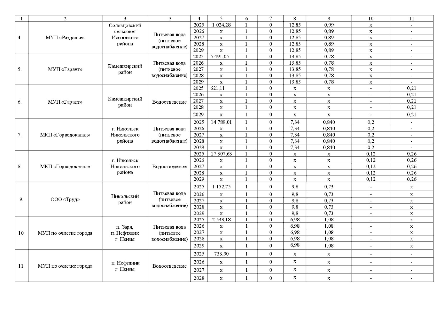
Приказ Министерства жилищно-коммунального хозяйства и гражданской защиты населения Пензенской области от 12.12.2024 № 26-117/ОД
"Об установлении одноставочных тарифов на питьевую воду (питьевое водоснабжение) и водоотведение на 2025-2029 годы"
(Зарегистрирован 12.12.2024 № 26-117/ОД)
Номер опубликования: 5801202412160026
Дата опубликования: 16.12.2024
Страница №5 из 8:
Увеличить