Официальное опубликование правовых актов
ОФИЦИАЛЬНОЕ ОПУБЛИКОВАНИЕ
Приказ Министерства градостроительства и архитектуры Пензенской области от 13.11.2024 № 23-449
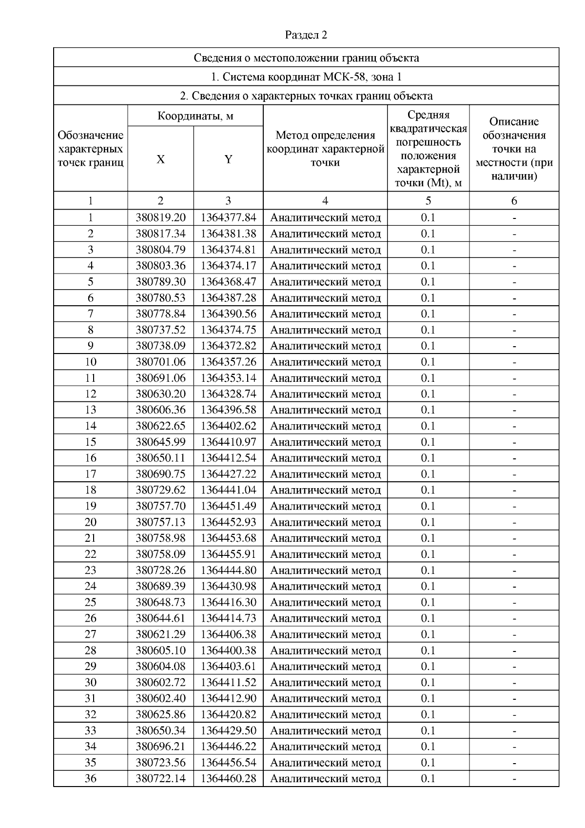
"Об утверждении границ охранной зоны существующего газопровода низкого давления, протяженностью 578 м, расположенного по адресу: Пензенская область, Каменский район, г. Каменка от точки врезки у дома № 11 на ул. Лесная по ул. Лесная 1-14, ул. Огородная 2-14, и наложении ограничений (обременений) на входящие в нее земельные участки"
(Зарегистрирован 13.11.2024 № 23-449)
Номер опубликования: 5801202411180003
Дата опубликования: 18.11.2024
Страница №5 из 7:
Увеличить