Официальное опубликование правовых актов
ОФИЦИАЛЬНОЕ ОПУБЛИКОВАНИЕ
Приказ Министерства градостроительства и архитектуры Пензенской области от 01.11.2024 № 23-422
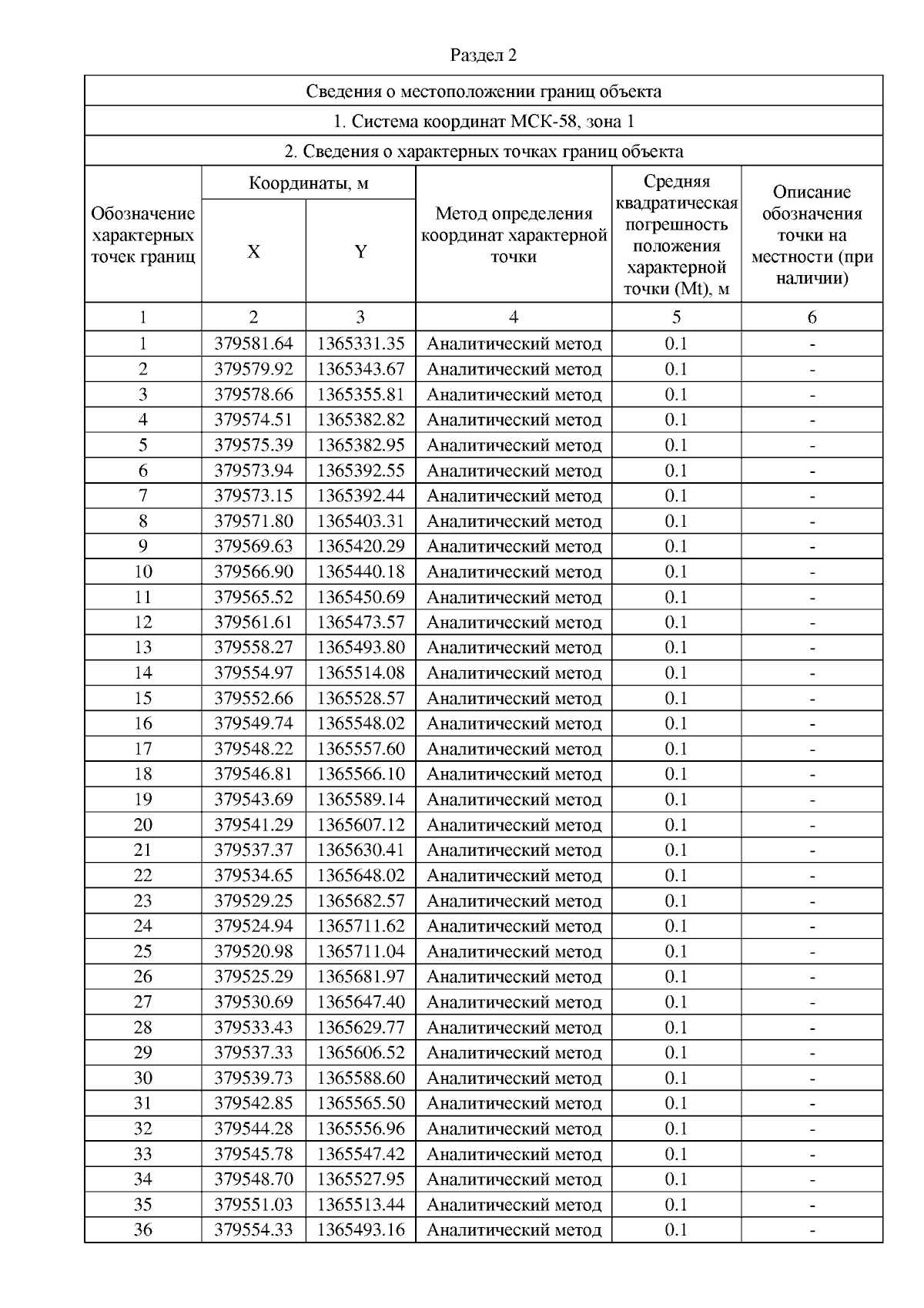
"Об утверждении границ охранной зоны существующего газопровода низкого давления, протяженностью 411 м, расположенного по адресу: Пензенская область, Каменский район, г. Каменка, от точки врезки на ул. Софийская по ул. Гайдара 1-31, и наложении ограничений (обременений) на входящие в нее земельные участки"
(Зарегистрирован 01.11.2024 № 23-422)
Номер опубликования: 5801202411020007
Дата опубликования: 02.11.2024
Страница №5 из 6:
Увеличить