Официальное опубликование правовых актов
ОФИЦИАЛЬНОЕ ОПУБЛИКОВАНИЕ
Приказ Министерства градостроительства и архитектуры Пензенской области от 31.10.2024 № 23-418
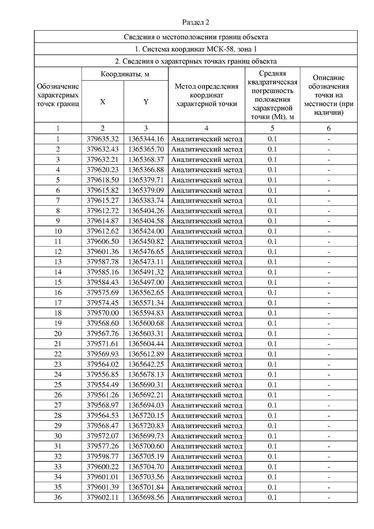
"Об утверждении границ охранной зоны существующего газопровода низкого давления, протяженностью 566 м, расположенного по адресу: Пензенская область, Каменский район, г. Каменка, от точки врезки на ул. Софийская по ул. Гайдара 2-28, ул. Некрасова 1-31, и наложении ограничений (обременений) на входящие в нее земельные участки"
(Зарегистрирован 31.10.2024 № 23-418)
Номер опубликования: 5801202411020003
Дата опубликования: 02.11.2024
Страница №5 из 8:
Увеличить