Приказ Министерства по охране памятников истории и культуры Пензенской области от 21.10.2024 № 30-124
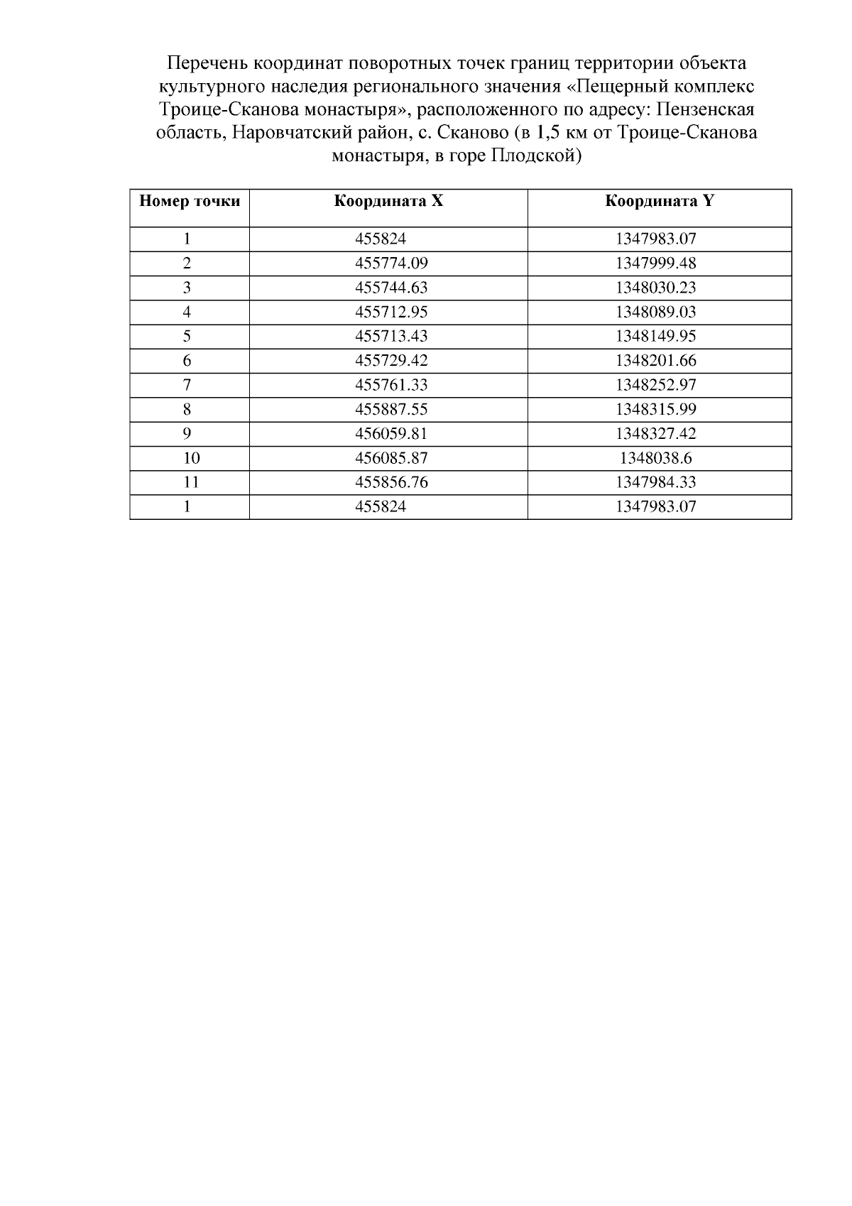
"О включении выявленного объекта культурного наследия "Пещерный комплекс Троице-Сканова монастыря" по адресу: Пензенская область, Наровчатский район, с. Сканово (в 1,5 км от Троице-Сканова монастыря, в горе Плодской) в единый государственный реестр объектов культурного наследия (памятников истории и культуры) народов Российской Федерации в качестве объекта культурного наследия регионального значения "Пещерный комплекс Троице-Сканова монастыря", об утверждении границ территории и предмета охраны объекта культурного наследия"
(Зарегистрирован 21.10.2024 № 30-124)
"О включении выявленного объекта культурного наследия "Пещерный комплекс Троице-Сканова монастыря" по адресу: Пензенская область, Наровчатский район, с. Сканово (в 1,5 км от Троице-Сканова монастыря, в горе Плодской) в единый государственный реестр объектов культурного наследия (памятников истории и культуры) народов Российской Федерации в качестве объекта культурного наследия регионального значения "Пещерный комплекс Троице-Сканова монастыря", об утверждении границ территории и предмета охраны объекта культурного наследия"
(Зарегистрирован 21.10.2024 № 30-124)
Номер опубликования: 5801202410210007
Дата опубликования:
21.10.2024
