Официальное опубликование правовых актов
ОФИЦИАЛЬНОЕ ОПУБЛИКОВАНИЕ
Приказ Министерства по охране памятников истории и культуры Пензенской области от 19.09.2024 № 30-118
"Об установлении зон охраны объекта культурного наследия регионального значения "Здание бывшего технического железнодорожного училища (ныне – техникум железнодорожного транспорта), одного из старейших учебных заведений отрасли, где учился П.И. Паршин – впоследствии кандидат в члены ЦК КПСС, нарком минометного вооружения СССР, министр машиностроения и приборостроения СССР, депутат Верховного Совета СССР, Герой Социалистического Труда, лауреат Государственной премии I степени" (Пензенская область, г. Пенза, ул. Володарского/ул. Октябрьская, д. 98/5) и утверждении требований к градостроительным регламентам в границах территории данных зон"
(Зарегистрирован 19.09.2024 № 30-118)
Номер опубликования: 5801202409230031
Дата опубликования: 23.09.2024
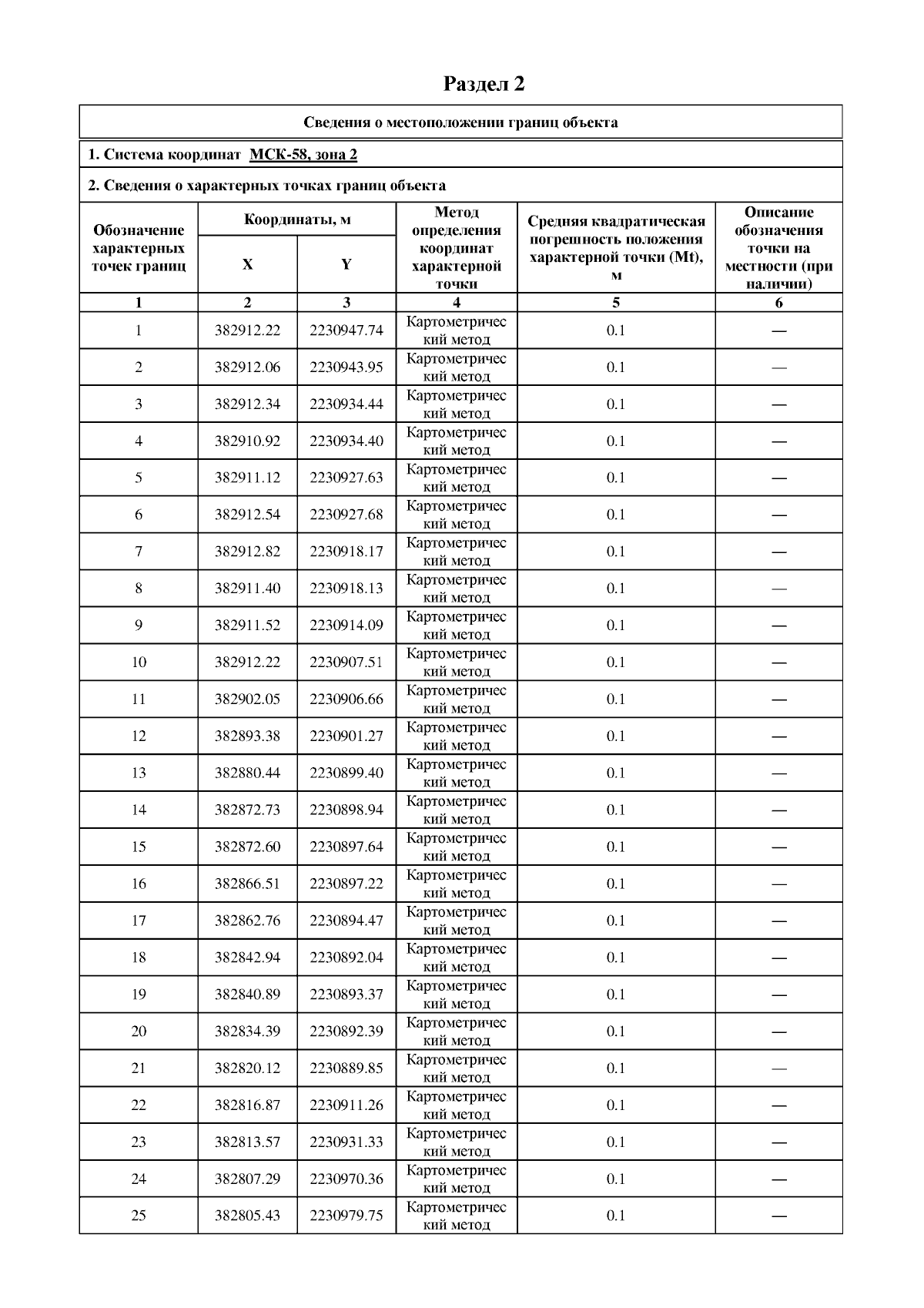
Страница №13 из 20:
Увеличить