Официальное опубликование правовых актов
ОФИЦИАЛЬНОЕ ОПУБЛИКОВАНИЕ
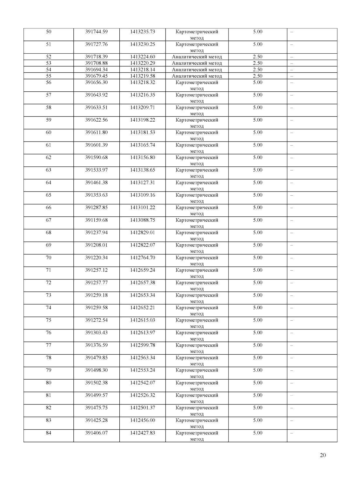
Приказ Министерства градостроительства и архитектуры Пензенской области от 22.08.2024 № 23-333
"О внесении изменений в Генеральный план муниципального образования Рамзайский сельсовет Мокшанского района Пензенской области"
(Зарегистрирован 22.08.2024 № 23-333)
Номер опубликования: 5801202408270019
Дата опубликования: 27.08.2024
Страница №20 из 59:
Увеличить