Официальное опубликование правовых актов
ОФИЦИАЛЬНОЕ ОПУБЛИКОВАНИЕ
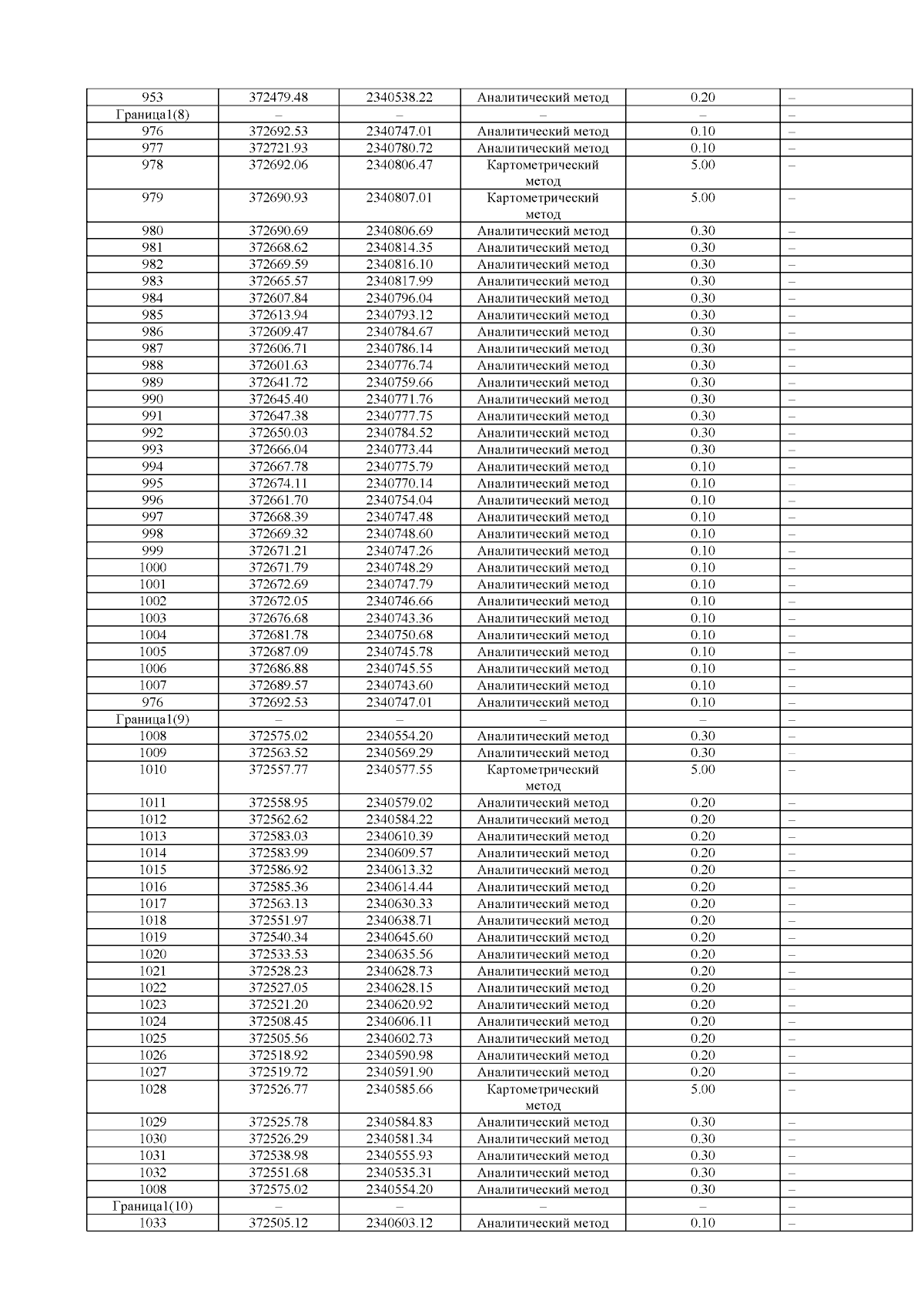
Приказ Министерства градостроительства и архитектуры Пензенской области от 15.08.2024 № 23-319
"О внесении изменений в Генеральный план города Кузнецка Пензенской области"
(Зарегистрирован 15.08.2024 № 23-319)
Номер опубликования: 5801202408200001
Дата опубликования: 20.08.2024
Страница №67 из 70:
Увеличить