Приказ Министерства градостроительства и архитектуры Пензенской области от 05.06.2024 № 23-241
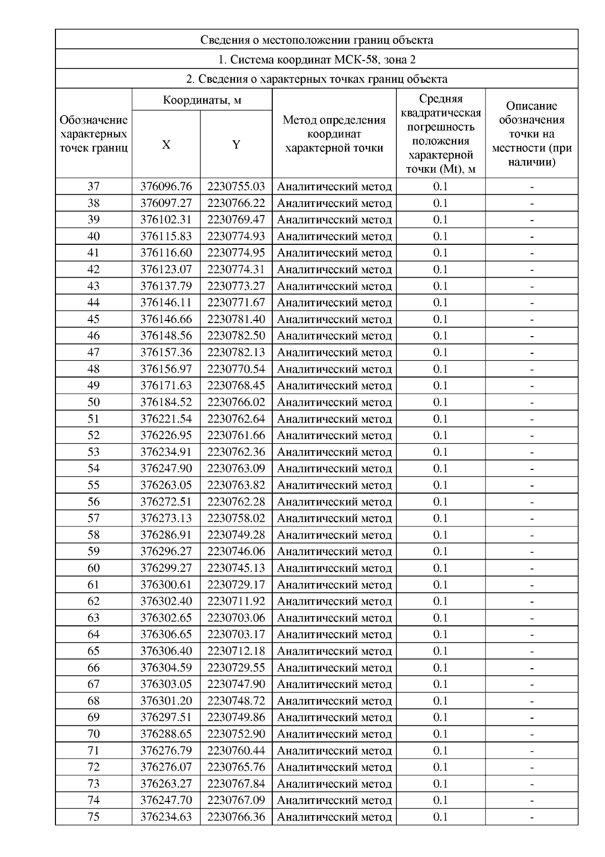
"О признании утратившим силу приказа Министерства строительства и жилищно-коммунального хозяйства Пензенской области от 25.12.2015 № 1308/ОД "Об утверждении границ охранных зон существующего газопровода низкого давления, протяженностью 1175 п.м., расположенного по адресу: Пензенская область, г. Пенза, и наложению ограничений (обременений) на входящие в них земельные участки" и об утверждении границ охранной зоны существующего газопровода низкого давления, протяженностью 1187 м, расположенного по адресу: Пензенская обл., г. Пенза, в районе ул. Нагорная, проезд Нагорный, и наложении ограничений (обременений) на входящие в нее земельные участки"
(Зарегистрирован 05.06.2024 № 23-241)
"О признании утратившим силу приказа Министерства строительства и жилищно-коммунального хозяйства Пензенской области от 25.12.2015 № 1308/ОД "Об утверждении границ охранных зон существующего газопровода низкого давления, протяженностью 1175 п.м., расположенного по адресу: Пензенская область, г. Пенза, и наложению ограничений (обременений) на входящие в них земельные участки" и об утверждении границ охранной зоны существующего газопровода низкого давления, протяженностью 1187 м, расположенного по адресу: Пензенская обл., г. Пенза, в районе ул. Нагорная, проезд Нагорный, и наложении ограничений (обременений) на входящие в нее земельные участки"
(Зарегистрирован 05.06.2024 № 23-241)
Номер опубликования: 5801202406100019
Дата опубликования:
10.06.2024
