Официальное опубликование правовых актов
ОФИЦИАЛЬНОЕ ОПУБЛИКОВАНИЕ
Приказ Департамента градостроительства и архитектуры Пензенской области от 19.07.2018 № 75/ОД
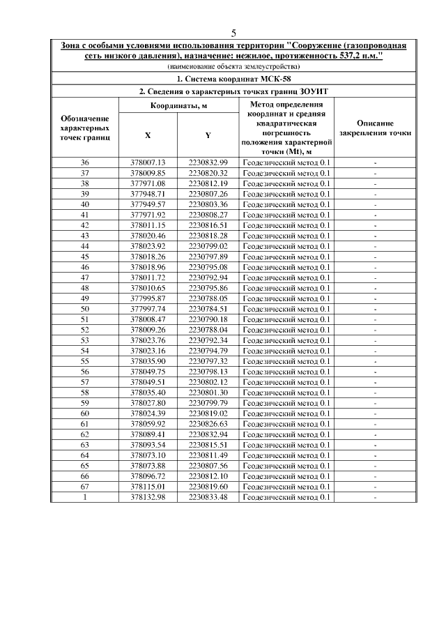
"О признании утратившим силу приказа Министерства строительства и жилищно-коммунального хозяйства Пензенской области от 16.12.2015 года № 940/ОД "Об утверждении границ охранных зон существующего газопровода низкого давления, протяженностью 537,2 м, расположенного по адресу: Пензенская область, г. Пенза и наложении ограничений (обременений) на входящие в них земельные участки" и об утверждении границ охранной зоны сооружения (газопроводная сеть низкого давления), назначение: нежилое, протяженность 537,2 п.м., адрес (местонахождение): Газопровод низкого давления 2-й Севастопольский. От т. 1 (точка врезки в сущ. г/п низкого давления, D=159, в районе жилого дома №31 по ул. Осовиахимовская) до жилых домов №1, №4, №7, №8, №10, №11, №12, №123, №14, №16, №18, №20, №22 по проезду 2-й Севастопольский, №2 по ул. Севастопольский и наложению ограничений (обременений) на входящие в нее земельные участки"
Номер опубликования: 5801201807230003
Дата опубликования: 23.07.2018
Страница №5 из 6:
Увеличить