Официальное опубликование правовых актов
ОФИЦИАЛЬНОЕ ОПУБЛИКОВАНИЕ
Приказ Департамента градостроительства и архитектуры Пензенской области от 05.06.2018 № 71/ОД
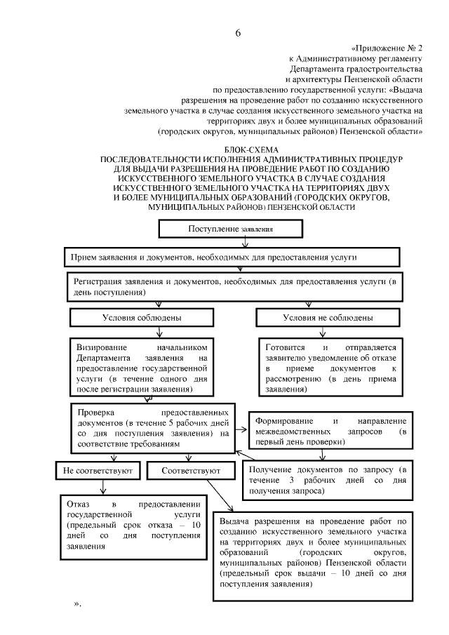
"О внесении изменений в Административный регламент предоставления Департаментом градостроительства и архитектуры Пензенской области государственной услуги: "Выдача разрешения на проведение работ по созданию искусственного земельного участка в случае создания искусственного земельного участка на территориях двух и более муниципальных образований (городских округов, муниципальных районов) Пензенской области", утвержденный приказом Департамента градостроительства и архитектуры Пензенской области от 24.04.2017 № 25/ОД (с последующими изменениями)"
Номер опубликования: 5801201806070005
Дата опубликования: 07.06.2018
Страница №6 из 7:
Увеличить