Официальное опубликование правовых актов
ОФИЦИАЛЬНОЕ ОПУБЛИКОВАНИЕ
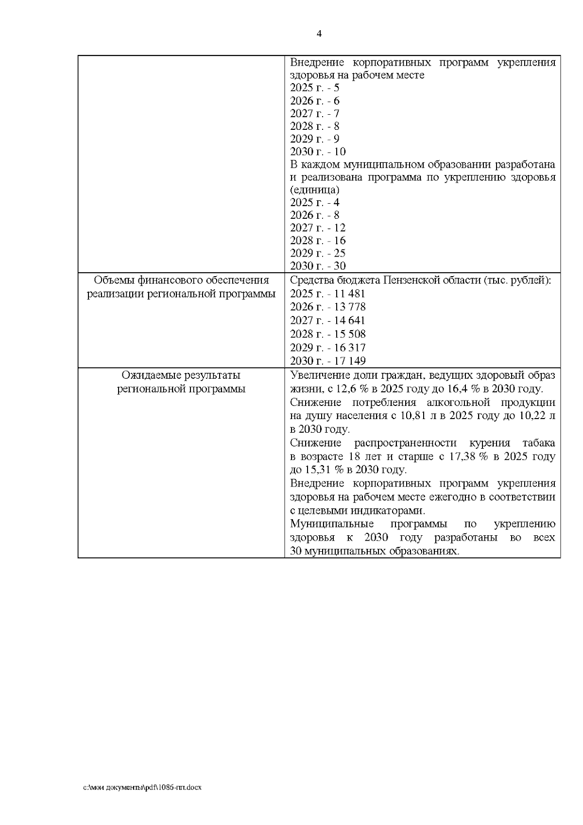
Постановление Правительства Пензенской области от 16.12.2025 № 1086-пП
"Об утверждении региональной программы "Укрепление здоровья и формирование здоровьесберегающей среды на территории Пензенской области"
Номер опубликования: 5800202512190032
Дата опубликования: 19.12.2025
Страница №6 из 56:
Увеличить