Официальное опубликование правовых актов
ОФИЦИАЛЬНОЕ ОПУБЛИКОВАНИЕ
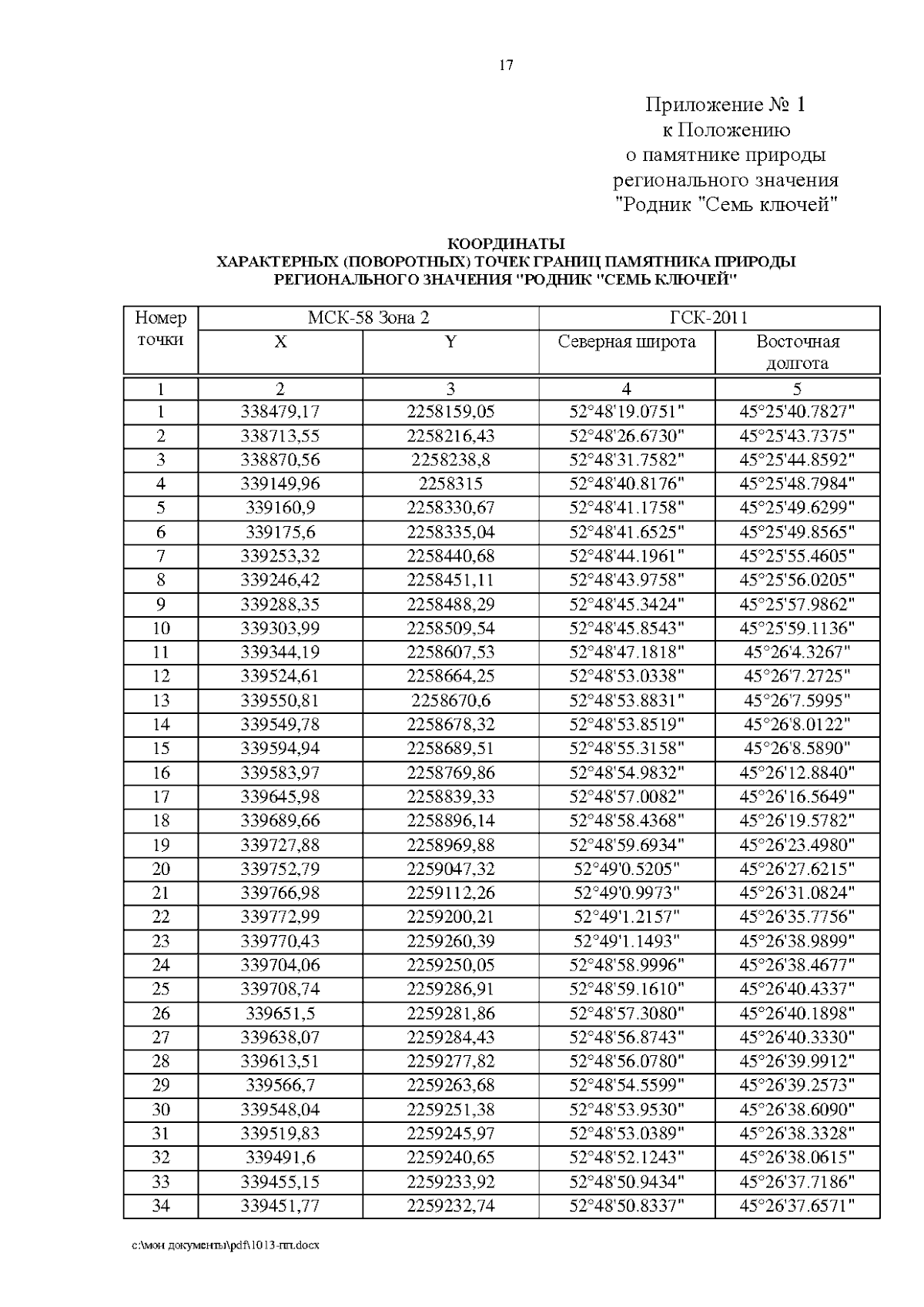
Постановление Правительства Пензенской области от 28.11.2025 № 1013-пП
"Об утверждении Положения о памятнике природы регионального значения Родник "Семь ключей"
Номер опубликования: 5800202512030001
Дата опубликования: 03.12.2025
Страница №18 из 32:
Увеличить