Официальное опубликование правовых актов
ОФИЦИАЛЬНОЕ ОПУБЛИКОВАНИЕ
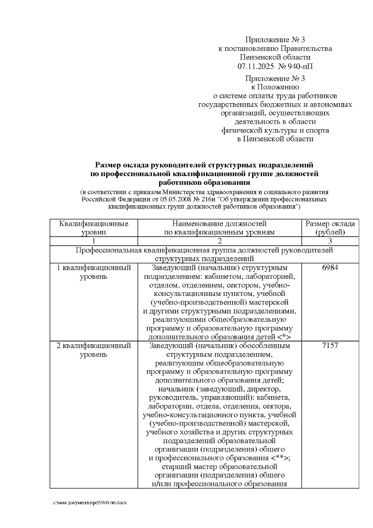
Постановление Правительства Пензенской области от 07.11.2025 № 940-пП
"О внесении изменений в постановление Правительства Пензенской области от 07.05.2009 № 355-пП "Об утверждении Положения о системе оплаты труда работников государственных бюджетных и автономных организаций, осуществляющих деятельность в области физической культуры и спорта в Пензенской области" (с последующими изменениями)"
Номер опубликования: 5800202511100004
Дата опубликования: 10.11.2025
Страница №6 из 14:
Увеличить