Постановление Правительства Пензенской области от 18.09.2025 № 803-пП
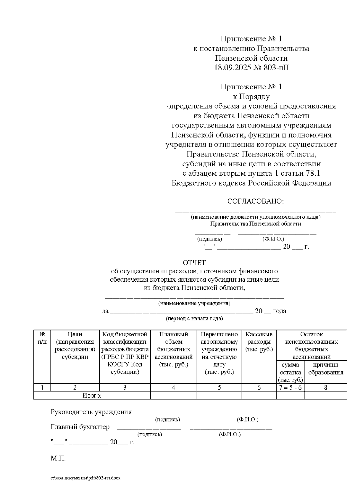
"О внесении изменений в Порядок определения объема и условий предоставления из бюджета Пензенской области государственным автономным учреждениям Пензенской области, функции и полномочия учредителя в отношении которых осуществляет Правительство Пензенской области, субсидий на иные цели в соответствии с абзацем вторым пункта 1 статьи 78.1 Бюджетного кодекса Российской Федерации, утвержденный постановлением Правительства Пензенской области от 09.02.2024 № 55-пП (с последующими изменениями)"
"О внесении изменений в Порядок определения объема и условий предоставления из бюджета Пензенской области государственным автономным учреждениям Пензенской области, функции и полномочия учредителя в отношении которых осуществляет Правительство Пензенской области, субсидий на иные цели в соответствии с абзацем вторым пункта 1 статьи 78.1 Бюджетного кодекса Российской Федерации, утвержденный постановлением Правительства Пензенской области от 09.02.2024 № 55-пП (с последующими изменениями)"
Номер опубликования: 5800202509220005
Дата опубликования:
22.09.2025
