Официальное опубликование правовых актов
ОФИЦИАЛЬНОЕ ОПУБЛИКОВАНИЕ
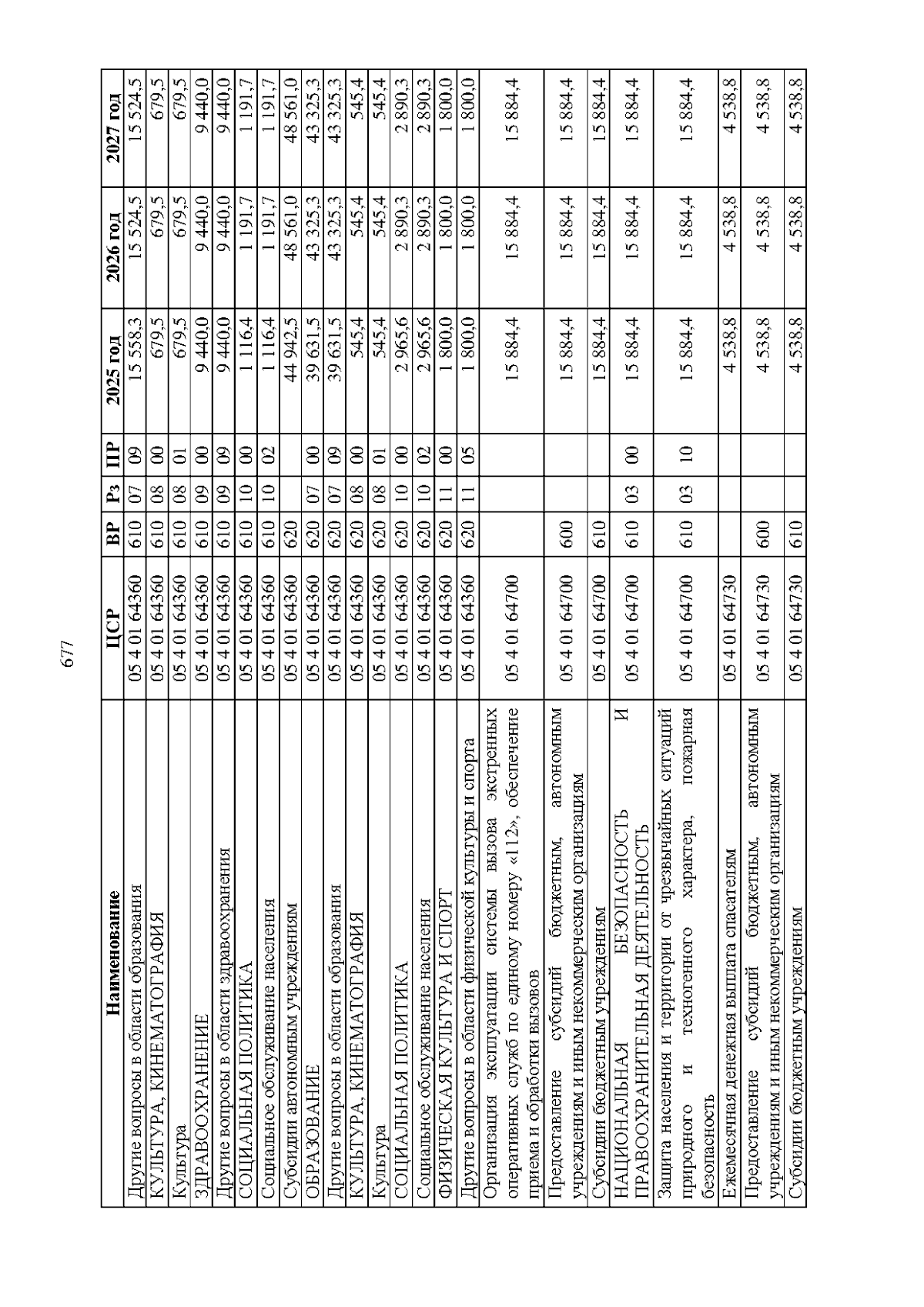
Закон Пензенской области от 23.06.2025 № 4577-ЗПО
"О внесении изменений в Закон Пензенской области "О бюджете Пензенской области на 2025 год и на плановый период 2026 и 2027 годов"
Номер опубликования: 5800202506230024
Дата опубликования: 23.06.2025
Страница №677 из 881:
Увеличить