Официальное опубликование правовых актов
ОФИЦИАЛЬНОЕ ОПУБЛИКОВАНИЕ
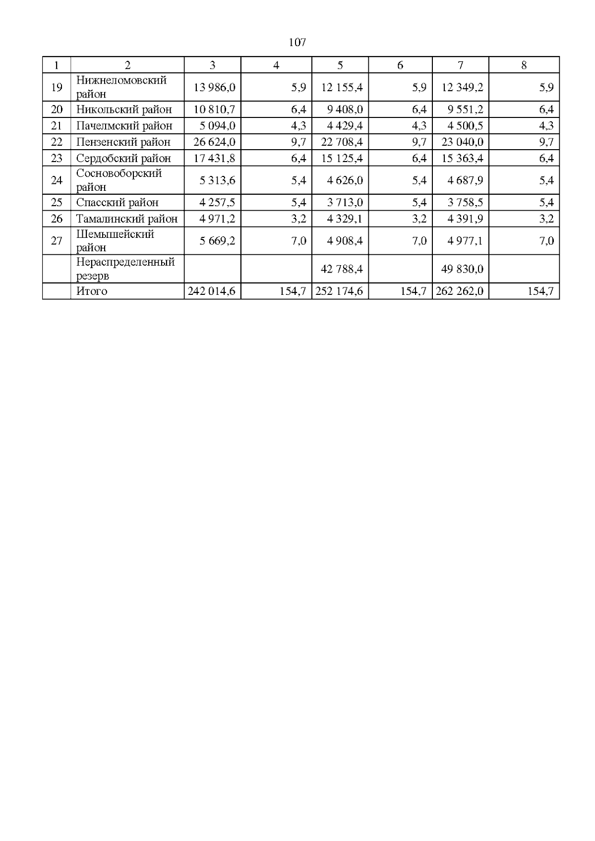
Закон Пензенской области от 18.12.2024 № 4487-ЗПО
"О бюджете Пензенской области на 2025 год и на плановый период 2026 и 2027 годов"
Номер опубликования: 5800202412180002
Дата опубликования: 18.12.2024
Страница №940 из 965:
Увеличить