Официальное опубликование правовых актов
ОФИЦИАЛЬНОЕ ОПУБЛИКОВАНИЕ
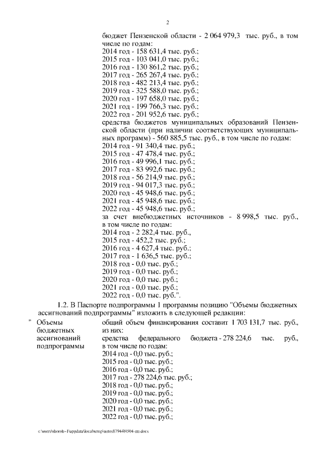
Постановление Правительства Пензенской области от 17.09.2018 № 504-пП
"О внесении изменений в государственную программу Пензенской области "Обеспечение жильем и коммунальными услугами населения Пензенской области на 2014 - 2022 годы", утвержденную постановлением Правительства Пензенской области от 01.11.2013 № 811-пП (с последующими изменениями)"
Номер опубликования: 5800201809190002
Дата опубликования: 19.09.2018
Страница №2 из 112:
Увеличить