Официальное опубликование правовых актов
ОФИЦИАЛЬНОЕ ОПУБЛИКОВАНИЕ
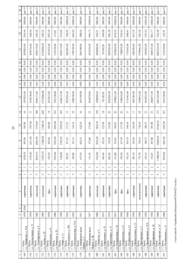
Постановление Правительства Пензенской области от 19.04.2018 № 227-пП
"О внесении изменений в постановление Правительства Пензенской области от 30.10.2015 № 605-пП (с последующими изменениями)"
Номер опубликования: 5800201804200001
Дата опубликования: 20.04.2018
Страница №30 из 73:
Увеличить