Официальное опубликование правовых актов
ОФИЦИАЛЬНОЕ ОПУБЛИКОВАНИЕ
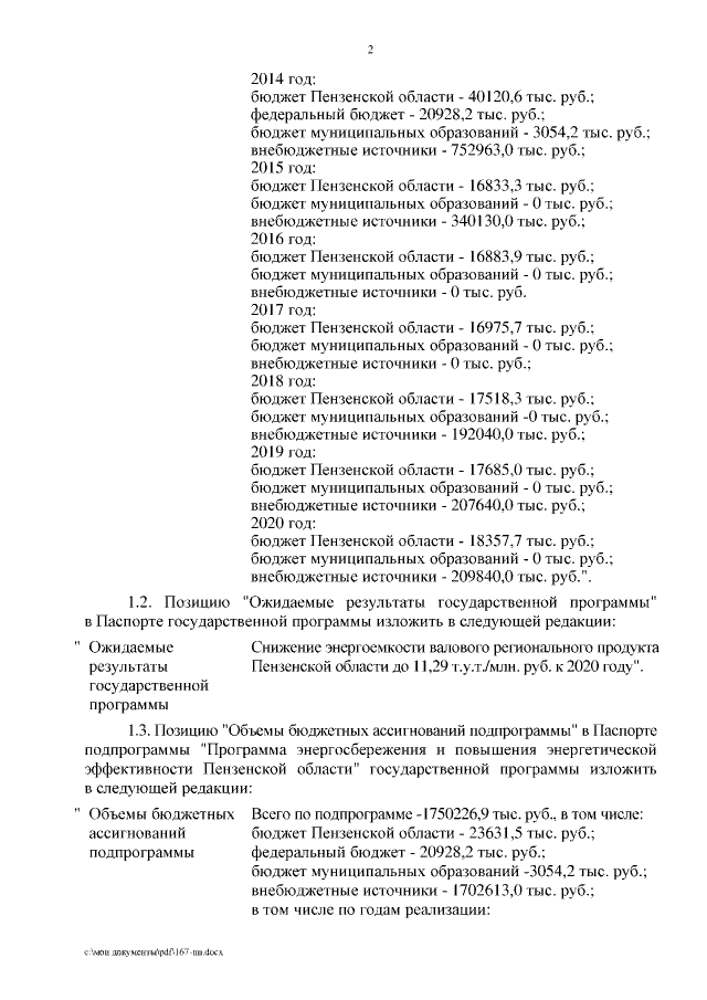
Постановление Правительства Пензенской области от 23.03.2018 № 167-пП
"О внесении изменений в государственную программу Пензенской области "Обеспечение энергосбережения и повышения энергетической эффективности Пензенской области на 2014 - 2020 годы", утвержденную постановлением Правительства Пензенской области от 05.11.2013 № 814-пП (с последующими изменениями)"
Номер опубликования: 5800201803280011
Дата опубликования: 28.03.2018
Страница №2 из 45:
Увеличить