Официальное опубликование правовых актов
ОФИЦИАЛЬНОЕ ОПУБЛИКОВАНИЕ
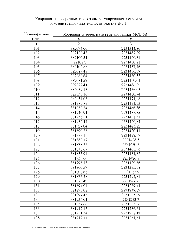
Постановление Правительства Пензенской области от 12.12.2017 № 597-пП
"Об утверждении границ зон охраны, режимов использования земель и градостроительных регламентов в границах данных зон объекта культурного наследия регионального значения "Дом жилой" (Пензенская область, г. Пенза, ул. Кирова, д. 49)"
Номер опубликования: 5800201712130005
Дата опубликования: 13.12.2017
Страница №6 из 17:
Увеличить