Официальное опубликование правовых актов
ОФИЦИАЛЬНОЕ ОПУБЛИКОВАНИЕ
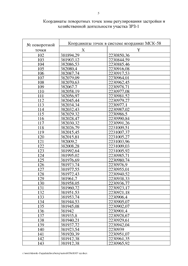
Постановление Правительства Пензенской области от 23.10.2017 № 507-пП
"Об утверждении границ зон охраны, режимов использования земель и градостроительных регламентов в границах данных зон объекта культурного наследия регионального значения "Здание, где на III Пензенской общегородской партийной конференции 14 августа 1921 года выступал председатель ВЦИК М.И. Калинин" (Пензенская область, г. Пенза, ул. Московская, 69)"
Номер опубликования: 5800201710250003
Дата опубликования: 25.10.2017
Страница №7 из 16:
Увеличить