Официальное опубликование правовых актов
ОФИЦИАЛЬНОЕ ОПУБЛИКОВАНИЕ
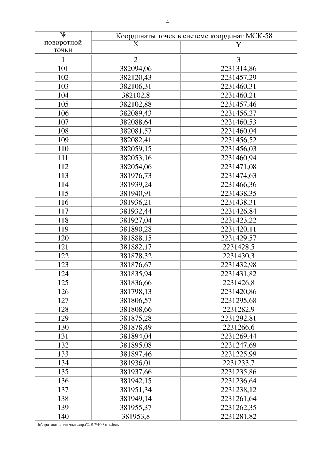
Постановление Правительства Пензенской области от 27.09.2017 № 460-пП
"Об утверждении границ зон охраны, режимов использования земель и градостроительных регламентов в границах данных зон объекта культурного наследия регионального значения "Дом жилой" (Пензенская область, г. Пенза, ул. Кирова, 57)"
Номер опубликования: 5800201710030013
Дата опубликования: 03.10.2017
Страница №6 из 16:
Увеличить