Официальное опубликование правовых актов
ОФИЦИАЛЬНОЕ ОПУБЛИКОВАНИЕ
Постановление Правительства Пензенской области от 20.12.2016 № 635-пП
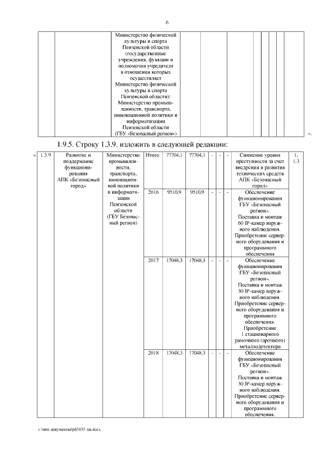
"О внесении изменений в государственную программу Пензенской области "Обеспечение общественного порядка и противодействие преступности в Пензенской области в 2014–2020 годах", утвержденную постановлением Правительства Пензенской области от 22.10.2013 № 782-пП (с последующими изменениями)"
Номер опубликования: 5800201612220004
Дата опубликования: 22.12.2016
Страница №6 из 41:
Увеличить