Официальное опубликование правовых актов
ОФИЦИАЛЬНОЕ ОПУБЛИКОВАНИЕ
Постановление Губернатора Пензенской области от 25.11.2015 № 150
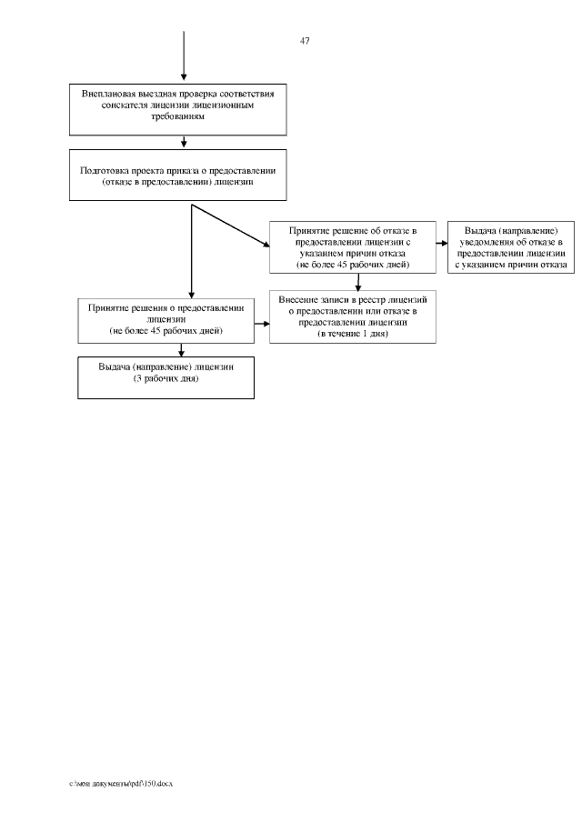
"Об утверждении Административного регламента Министерства здравоохранения Пензенской области по предоставлению государственной услуги "Лицензирование медицинской деятельности медицинских организаций (за исключением медицинских организаций, подведомственных федеральным органам исполнительной власти)"
Номер опубликования: 5800201512020005
Дата опубликования: 02.12.2015
Страница №48 из 52:
Увеличить