Официальное опубликование правовых актов
ОФИЦИАЛЬНОЕ ОПУБЛИКОВАНИЕ
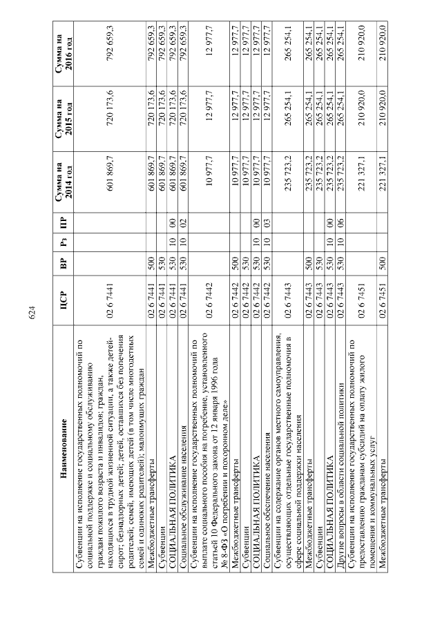
Закон Пензенской области от 19.12.2014 № 2657-ЗПО
"О внесении изменений в Закон Пензенской области "О бюджете Пензенской области на 2014 год и на плановый период 2015 и 2016 годов"
Номер опубликования: 5800201412220010
Дата опубликования: 22.12.2014
Страница №624 из 865:
Увеличить