Официальное опубликование правовых актов
ОФИЦИАЛЬНОЕ ОПУБЛИКОВАНИЕ
Постановление Правительства Пензенской области от 31.10.2014 № 742-пП
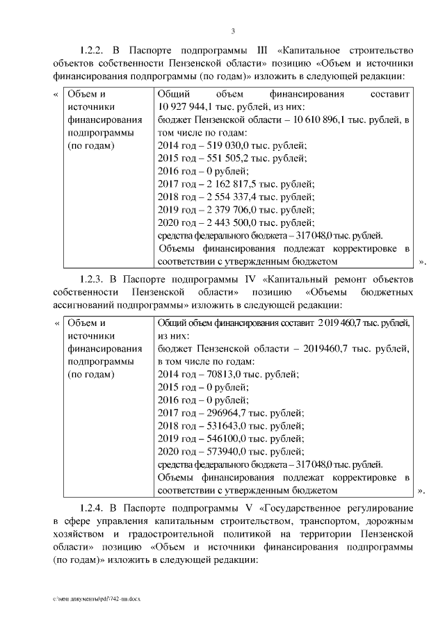
"О внесении изменений в государственную программу Пензенской области "Развитие территорий, социальной и инженерной инфраструктуры, обеспечение транспортных услуг в Пензенской области на 2014–2020 годы", утвержденную постановлением Правительства Пензенской области от 26.09.2013 № 724-пП (с последующими изменениями)"
Номер опубликования: 5800201411060006
Дата опубликования: 06.11.2014
Страница №3 из 51:
Увеличить