Официальное опубликование правовых актов
ОФИЦИАЛЬНОЕ ОПУБЛИКОВАНИЕ
Приказ Управления по государственной охране объектов культурного наследия Орловской области от 01.04.2026 № 77
"О внесении изменений в приказ Управления по государственной охране объектов культурного наследия Орловской области от 16 сентября 2025 года № 187 "О включении объектов, обладающих признаками объекта культурного наследия, в перечень выявленных объектов культурного наследия"
(Зарегистрирован 03.04.2026 № 224/2026)
Номер опубликования: 5701202604030005
Дата опубликования: 03.04.2026
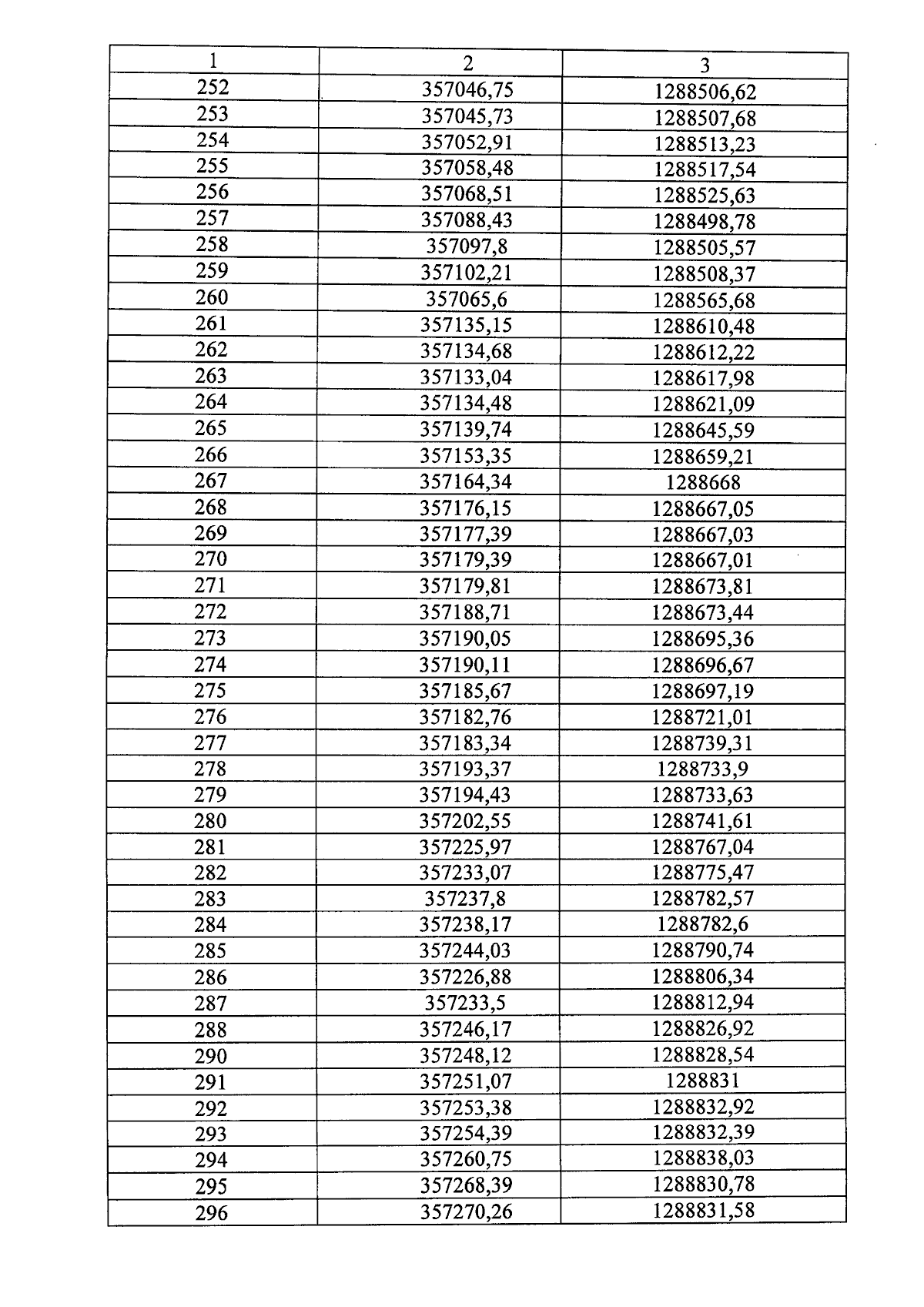
Страница №9 из 12:
Увеличить