Приказ Управления по государственной охране объектов культурного наследия Орловской области от 26.11.2025 № 301
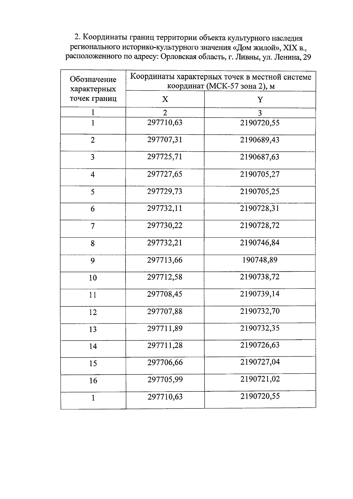
"Об утверждении границ территории и правового режима использования территории объекта культурного наследия регионального историко-культурного значения "Дом жилой", XIX в., расположенного по адресу: Орловская область, г. Ливны, ул. Ленина, 29"
(Зарегистрирован 27.11.2025 № 623/2025)
"Об утверждении границ территории и правового режима использования территории объекта культурного наследия регионального историко-культурного значения "Дом жилой", XIX в., расположенного по адресу: Орловская область, г. Ливны, ул. Ленина, 29"
(Зарегистрирован 27.11.2025 № 623/2025)
Номер опубликования: 5701202512010001
Дата опубликования:
01.12.2025
