Приказ Управления по государственной охране объектов культурного наследия Орловской области от 18.07.2025 № 94
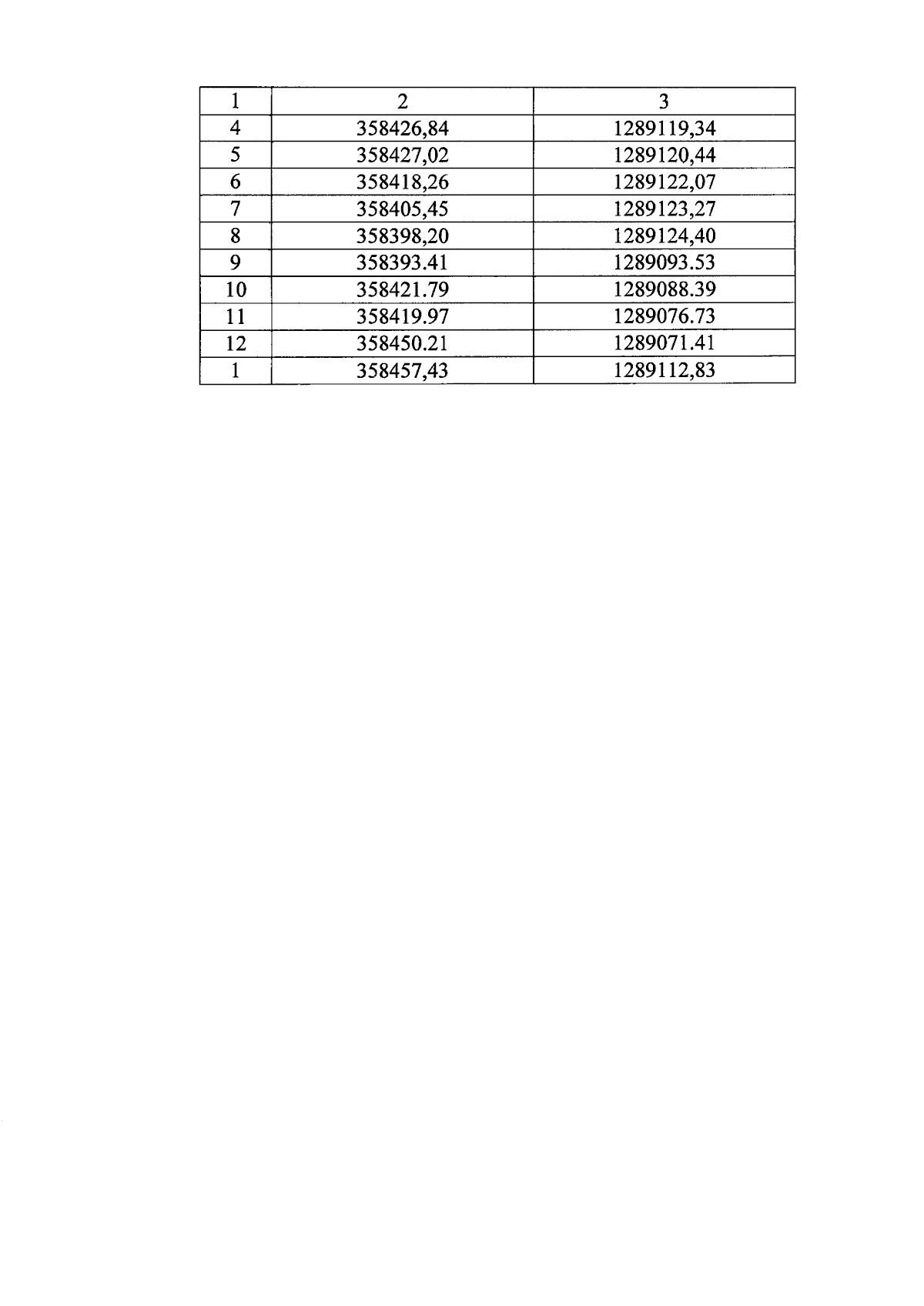
"Об утверждении границ территории и правового режима использования территории объекта культурного наследия регионального историко-культурного значения "Дом жилой", XIX в., расположенного по адресу: Орловская область, г. Орел, ул. Ленина, 25 а"
(Зарегистрирован 23.07.2025 № 338/2025)
"Об утверждении границ территории и правового режима использования территории объекта культурного наследия регионального историко-культурного значения "Дом жилой", XIX в., расположенного по адресу: Орловская область, г. Орел, ул. Ленина, 25 а"
(Зарегистрирован 23.07.2025 № 338/2025)
Номер опубликования: 5701202507230006
Дата опубликования:
23.07.2025
