Официальное опубликование правовых актов
ОФИЦИАЛЬНОЕ ОПУБЛИКОВАНИЕ
Приказ Департамента социальной защиты, опеки и попечительства, труда и занятости Орловской области от 02.12.2024 № 1272
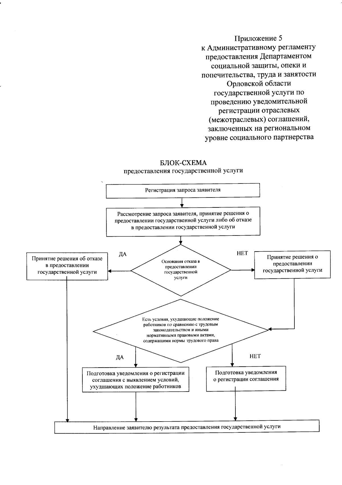
"О внесении изменения в приказ Департамента социальной защиты, опеки и попечительства, труда и занятости Орловской области от 30 октября 2019 года № 588 "Об утверждении административного регламента предоставления Департаментом социальной защиты, опеки и попечительства, труда и занятости Орловской области государственной услуги по проведению уведомительной регистрации отраслевых (межотраслевых) соглашений, заключенных на региональном уровне социального партнерства"
(Зарегистрирован 05.12.2024 № 659/2024)
Номер опубликования: 5701202412060001
Дата опубликования: 06.12.2024
Страница №31 из 31:
Увеличить