Официальное опубликование правовых актов
ОФИЦИАЛЬНОЕ ОПУБЛИКОВАНИЕ
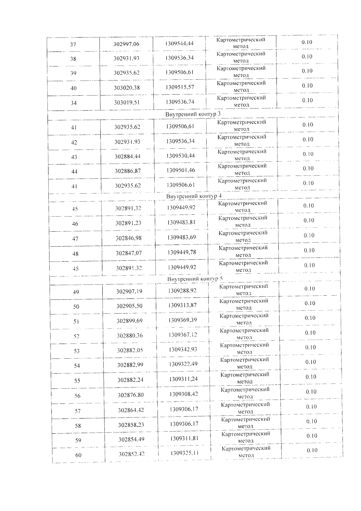
Приказ Управления по государственной охране объектов культурного наследия Орловской области от 06.11.2024 № 212
"Об утверждении границ территории и правового режима использования территории объекта культурного наследия регионального историко-культурного значения "Комплекс бывшей усадьбы Володемировых", XIX в., расположенного по адресу: Орловская область, Глазуновский район, пос. Техникумовский"
(Зарегистрирован 08.11.2024 № 591/2024)
Номер опубликования: 5701202411130001
Дата опубликования: 13.11.2024
Страница №10 из 13:
Увеличить