Официальное опубликование правовых актов
ОФИЦИАЛЬНОЕ ОПУБЛИКОВАНИЕ
Приказ Департамента социальной защиты, опеки и попечительства, труда и занятости Орловской области от 02.09.2024 № 888
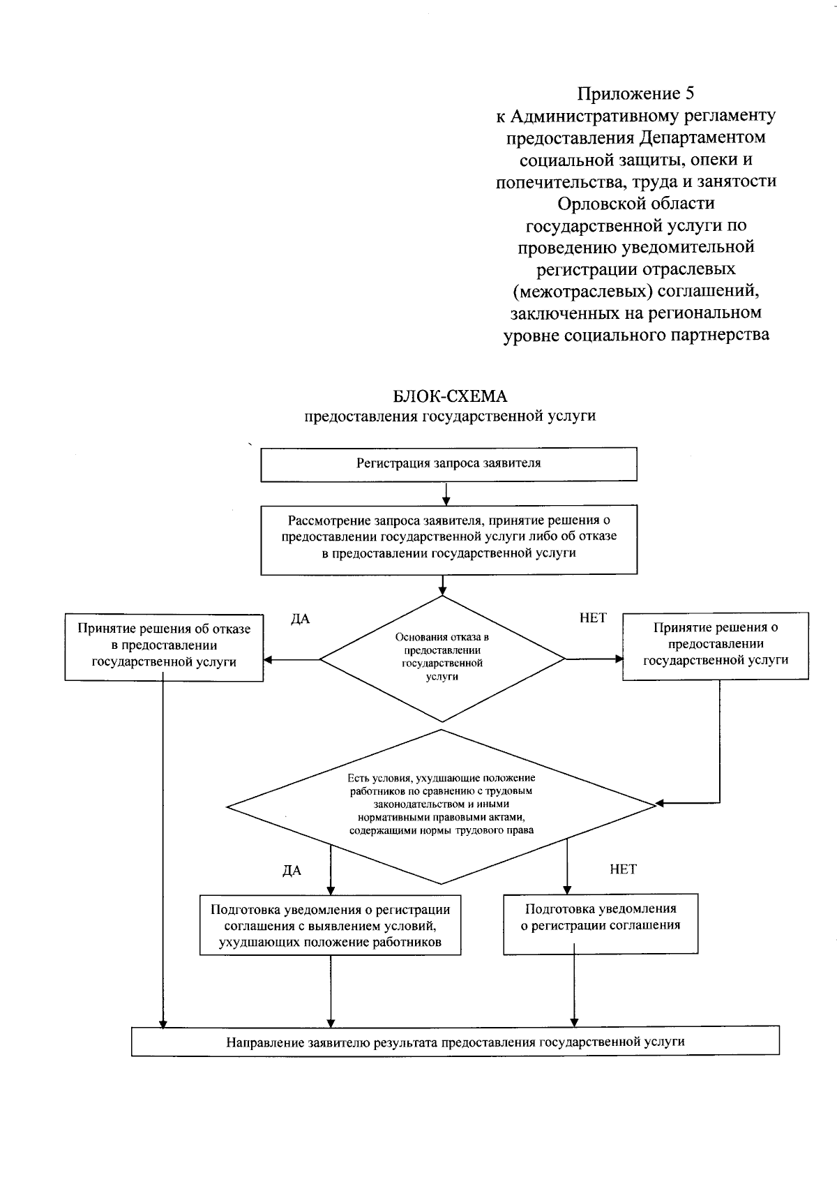
"О внесении изменений в приказ Департамента социальной защиты, опеки и попечительства, труда и занятости Орловской области от 30 октября 2019 года № 588 "Об утверждении административного регламента предоставления Департаментом социальной защиты, опеки и попечительства, труда и занятости Орловской области государственной услуги по проведению уведомительной регистрации отраслевых (межотраслевых) соглашений, заключенных на региональном уровне социального партнерства"
(Зарегистрирован 03.09.2024 № 407/2024)
Номер опубликования: 5701202409040001
Дата опубликования: 04.09.2024
Страница №28 из 28:
Увеличить