Официальное опубликование правовых актов
ОФИЦИАЛЬНОЕ ОПУБЛИКОВАНИЕ
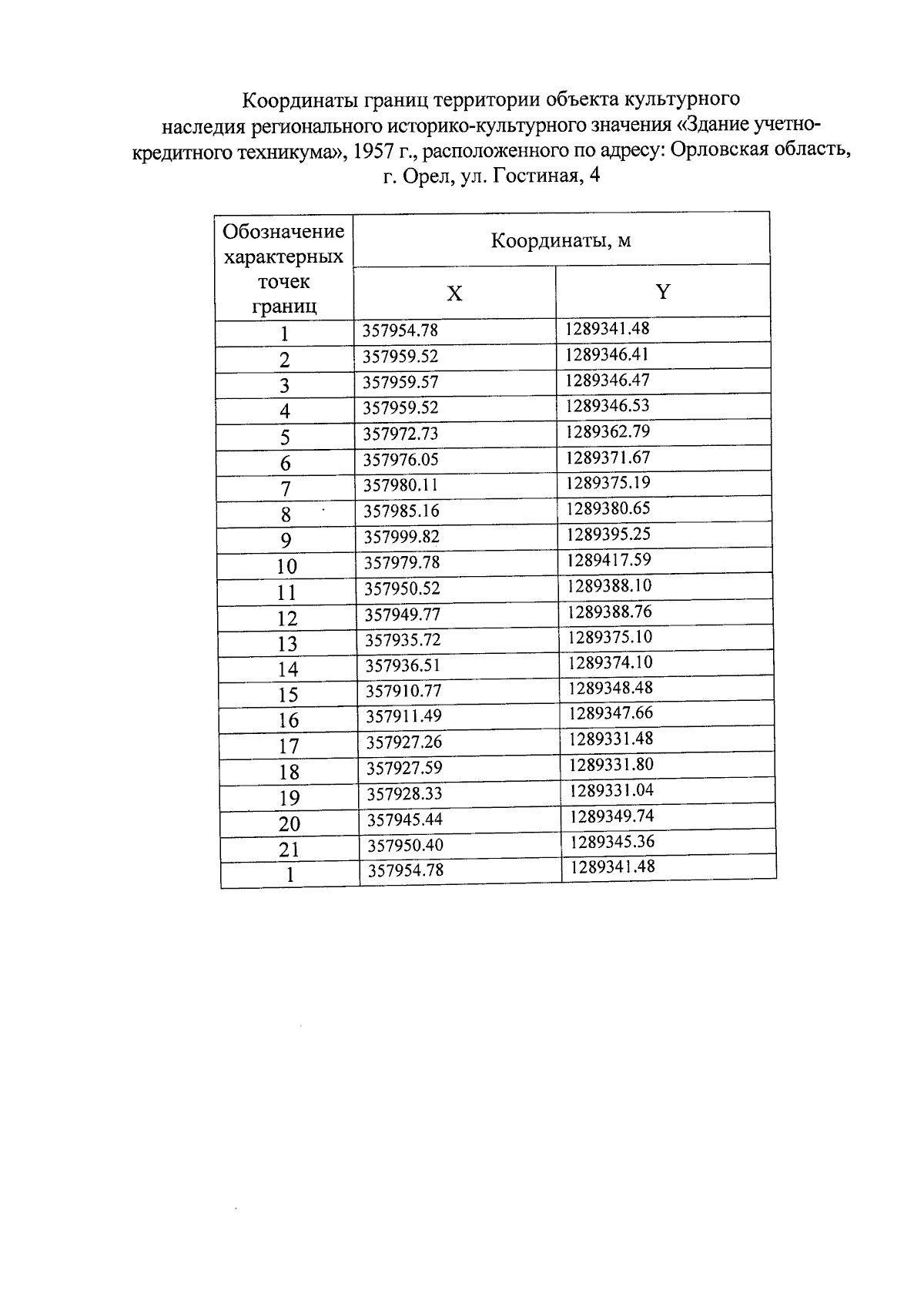
Приказ Управления по государственной охране объектов культурного наследия Орловской области от 08.07.2024 № 84
"Об утверждении границ территории и правового режима использования территории объекта культурного наследия регионального историко-культурного значения "Здание учетно-кредитного техникума", 1957 г., расположенного по адресу: Орловская область, г. Орел, ул. Гостиная, 4"
(Зарегистрирован 10.07.2024 № 299/2024)
Номер опубликования: 5701202407110013
Дата опубликования: 11.07.2024
Страница №7 из 7:
Увеличить