Официальное опубликование правовых актов
ОФИЦИАЛЬНОЕ ОПУБЛИКОВАНИЕ
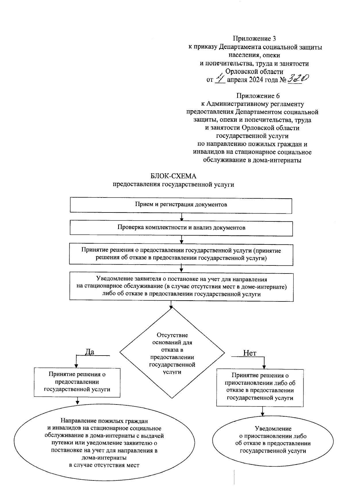
Приказ Департамента социальной защиты, опеки и попечительства, труда и занятости Орловской области от 04.04.2024 № 320
"О внесении изменений в приказ Департамента социальной защиты, опеки и попечительства, труда и занятости Орловской области от 14 мая 2019 года № 166 "Об утверждении административного регламента предоставления Департаментом социальной защиты, опеки и попечительства, труда и занятости Орловской области государственной услуги по направлению пожилых граждан и инвалидов на стационарное социальное обслуживание в дома-интернаты"
(Зарегистрирован 08.04.2024 № 168/2024)
Номер опубликования: 5701202404090002
Дата опубликования: 09.04.2024
Страница №37 из 38:
Увеличить