Официальное опубликование правовых актов
ОФИЦИАЛЬНОЕ ОПУБЛИКОВАНИЕ
Приказ Департамента жилищно-коммунального хозяйства, топливно-энергетического комплекса и энергосбережения Орловской области от 27.12.2023 № 261
"О внесении изменений в приказ Департамента строительства, топливно-энергетического комплекса, жилищно-коммунального хозяйства, транспорта и дорожного хозяйства Орловской области от 16 сентября 2019 года № 443"
(Зарегистрирован 28.12.2023 № 842/2023)
Номер опубликования: 5701202312290007
Дата опубликования: 29.12.2023
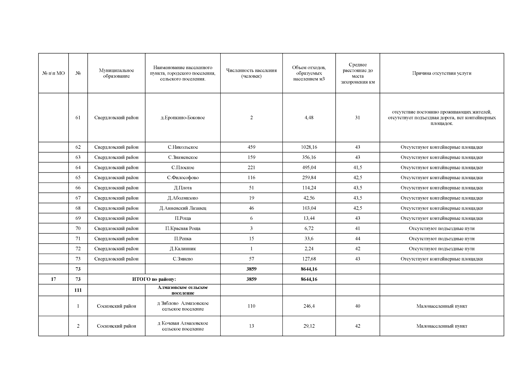
Страница №5756 из 5965:
Увеличить