Официальное опубликование правовых актов
ОФИЦИАЛЬНОЕ ОПУБЛИКОВАНИЕ
Приказ Департамента сельского хозяйства Орловской области от 09.06.2023 № 160
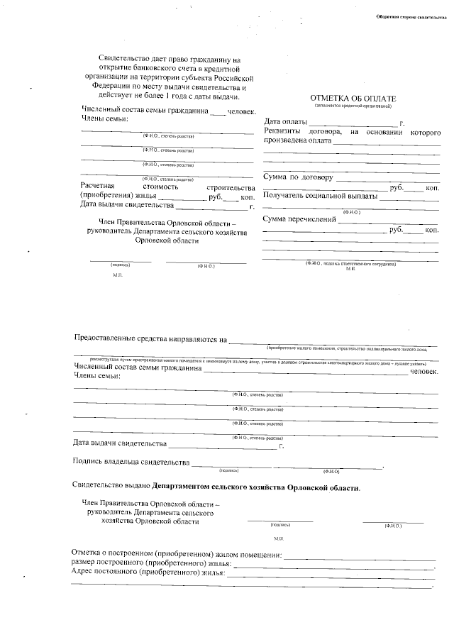
"О внесении изменения в приказ Департамента сельского хозяйства Орловской области от 18 марта 2020 года № 41 "Об утверждении форм Свидетельства о предоставлении социальной выплаты на строительство (приобретение) жилья на сельских территориях, заявления о включении в состав участников мероприятий по улучшению жилищных условий граждан, проживающих на сельских территориях и Реестра выданных свидетельств участникам мероприятия по улучшению жилищных условий граждан, проживающих на сельских территориях в рамках государственной программы Орловской области "Комплексное развитие сельских территорий"
(Зарегистрирован 09.06.2023 № 275/2023)
Номер опубликования: 5701202306130003
Дата опубликования: 13.06.2023
Страница №4 из 4:
Увеличить