Официальное опубликование правовых актов
ОФИЦИАЛЬНОЕ ОПУБЛИКОВАНИЕ
Приказ Управления по государственной охране объектов культурного наследия Орловской области от 24.10.2022 № 270
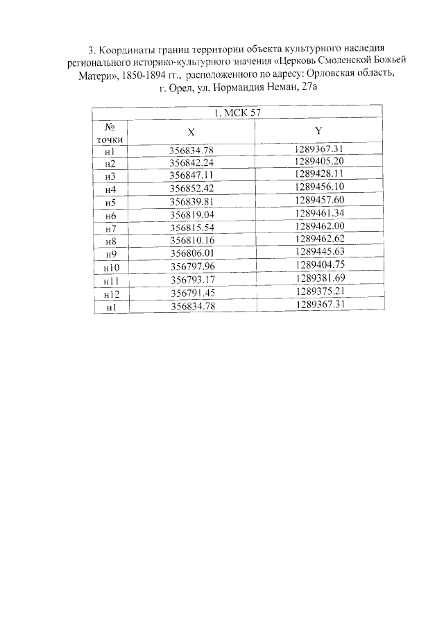
"О внесении изменений в приказ Управления по государственной охране объектов культурного наследия Орловской области от 30.09.2022 № 257 "Об утверждении границ территории и правового режима использования территории объекта культурного наследия регионального историко-культурного значения "Церковь Смоленской Божьей Матери", 1850-1894 гг., расположенного по адресу: Орловская область, г. Орел, ул. Нормандия Неман, 27а"
(Зарегистрирован 28.10.2022 № 638/2022)
Номер опубликования: 5701202211020002
Дата опубликования: 02.11.2022
Страница №5 из 6:
Увеличить