Официальное опубликование правовых актов
ОФИЦИАЛЬНОЕ ОПУБЛИКОВАНИЕ
Приказ Департамента жилищно-коммунального хозяйства, топливно-энергетического комплекса и энергосбережения Орловской области от 20.04.2022 № 48
"О внесении изменения в приказ Департамента строительства, топливно-энергетического комплекса, жилищно-коммунального хозяйства, транспорта и дорожного хозяйства Орловской области от 16 сентября 2019 года № 443 "Об утверждении территориальной схемы обращения с отходами, в том числе с твердыми коммунальными отходами, Орловской области"
(Зарегистрирован 21.04.2022 № 192/2022)
Номер опубликования: 5701202204250002
Дата опубликования: 25.04.2022
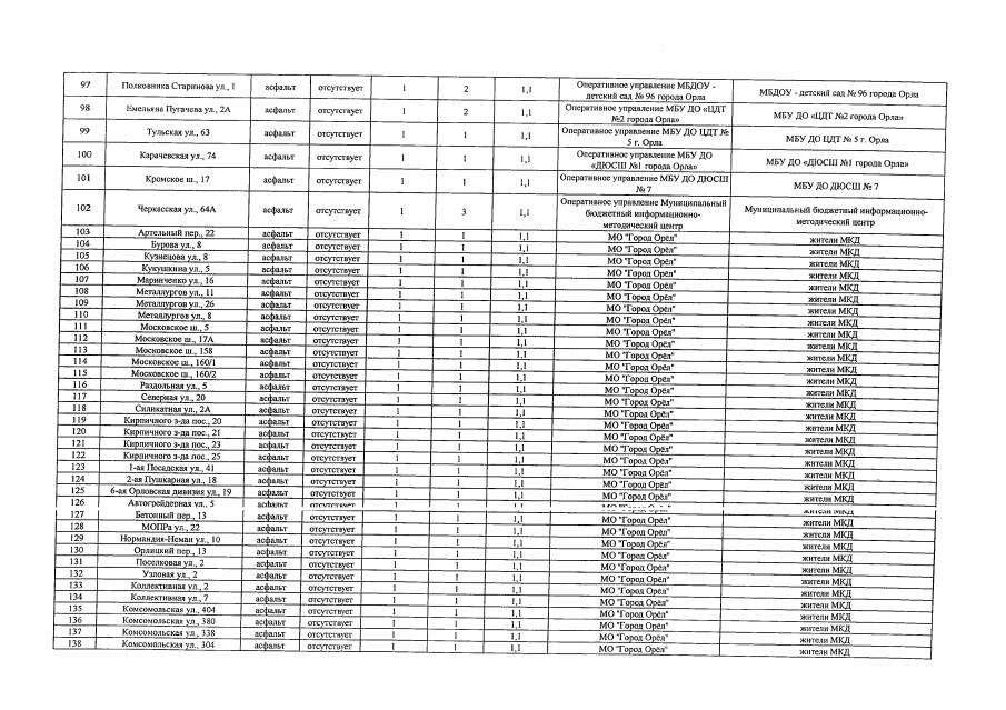
Страница №9 из 46:
Увеличить